精英家教网 > 高中数学 > 题目详情
根据下列条件确定抛物线的标准方程
(1) 关于y 轴对称且过点(-1 ,-3 );
(2) 过点(4 ,-8 );
(3) 焦点在x-2y-4=0 上.
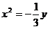
解:(1)设所求抛物线方程为x2=-2py(p>0),
将点(-1,-3)的坐标代入方程,得(-1)2=-2p·(-3),
所以所求抛物线方程为     
(2)设所求抛物线方程为y2=2px(p>0)或x2=- 2p'y(p'>0),
将点(4,-8)的坐标代入y2=2px,得p=8;
将点(4,-8)的坐标代入x2=-2p'y,得p'=1.
所以所求抛物线方程为y2=16x或x2=-2y.    
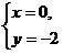
(3)由

所以所求抛物线的焦点坐标为(0,-2)或(4,0).
当焦点为(0,-2)时,由,得p=4,
所以所求抛物线方程为x2=-8y;
当焦点为(4,0)时,由,得p=8,
所以所求抛物线方程为y2=16x.综上所述,
所求抛物线方程为x2=-8y或y2=16x.
练习册系列答案
相关习题

同步练习册答案