精英家教网 > 高中数学 > 题目详情

已知函数

(1)求函数的最小正周期;

(2)求函数在区间上的最大值和最小值,并求此时的值.


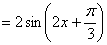
解:(1)

  

   

    

的最小正周期为  

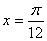
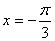
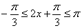
(2)由(1)知, 由,得,  

,即时, 取得最大值;  

,即时, 取得最小值  


练习册系列答案
相关习题

科目:高中数学 来源: 题型:


 有10个运动员名额,分给6个班,每班至少一个,有        种分配方案.

查看答案和解析>>

科目:高中数学 来源: 题型:


在曲线上某一点A处作一切线使之与曲线以及轴所围的面积为,则这个切线方程是. (    ) 

  A.y=-2x-1    B.y=-2x+1    C.y=2x-1     D.y=2x+1

查看答案和解析>>

科目:高中数学 来源: 题型:


在△ABC中,内角A,B,C的对边分别是a,b,c,若

 则A=    (      )

  A. 150               B. 120           C. 60             D. 30

查看答案和解析>>

科目:高中数学 来源: 题型:


 已知是等差数列,,公差,为其前项和,若成等比数列,则

查看答案和解析>>

科目:高中数学 来源: 题型:


设全集,集合,则等于(    )

A.           B.         C.        D.

查看答案和解析>>

科目:高中数学 来源: 题型:


是定义在实数集上的函数,满足条件是偶函数,且当时,,则,,的大小关系是(    )

A.          B.

C.          D.

查看答案和解析>>

科目:高中数学 来源: 题型:


已知x与y之间的一组数据:
            

x

0

1

2

3

  y

1

3

5

7

则y与x的线性回归方程为 必过点 ( )
A .(2,2)           B.(1,2)          C.(1.5,0)         D.(1.5,4)

查看答案和解析>>

科目:高中数学 来源: 题型:


有3张奖券,其中2张可中奖,现3个人按顺序依次从中抽一张,小明最后抽,

则他抽到中奖券的概率是(   )

(A)     (B)       (C)       (D)

查看答案和解析>>

同步练习册答案