精英家教网 > 高中数学 > 题目详情

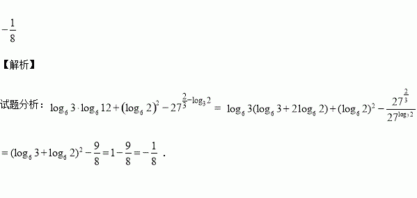
____________.

练习册系列答案
相关习题

科目:高中数学 来源:2015-2016学年黑龙江省高一上期末数学试卷(解析版) 题型:选择题

都是锐角,且,则等于( )

A. B. C. D.

查看答案和解析>>

科目:高中数学 来源:2016届浙江省等高三第一次五校联考文科数学试卷(解析版) 题型:解答题

已知函数

(1)当时,求函数的值域;

(2)设的内角的对应边分别为,且,若向量

与向量共线,求的值.

查看答案和解析>>

科目:高中数学 来源:2016届广西河池高中高三上第五次月考文科数学试卷(解析版) 题型:选择题

已知直线经过抛物线的焦点,与交于两点,若,则的值为( )

A. B. C.1 D.2

查看答案和解析>>

科目:高中数学 来源:2016届广西河池高中高三上第五次月考理科数学试卷(解析版) 题型:选择题

已知满足约束条件,若的最大值为,则( )

A. B. C.1 D.2

查看答案和解析>>

科目:高中数学 来源:2016届宁夏银川一中高三上学期第四次月考理科数学试卷(解析版) 题型:选择题

如果实数x、y满足关系,则的取值范围是( )

A.[3,4] B.[2,3] C. D.

查看答案和解析>>

科目:高中数学 来源:2015-2016学年河北冀州中学高二上第三次月考理科数学卷(解析版) 题型:选择题

已知x、y满足约束条件的最大值为( )

A、﹣2 B、﹣1 C、1 D、2

查看答案和解析>>

科目:高中数学 来源:2015-2016学年宁夏石嘴山三中高一上期中数学试卷(解析版) 题型:选择题

已知全集U={1,2,3,4,5,6},A={1,3,5},B={2,3,4},则(A)∩B=( )
A.{2,4} B.{3} C.{2,4,6} D.{1,2,3,4,5}

查看答案和解析>>

科目:高中数学 来源:2015-2016学年安徽省高二上期中理科数学试卷(解析版) 题型:选择题

下列各数中,可能是六进制数的是( )

A.66 B.108 C.732 D.2015

查看答案和解析>>

同步练习册答案