精英家教网 > 高中数学 > 题目详情

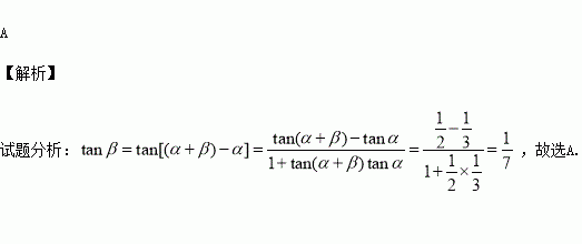
,则( )

(A) (B) (C) (D)

练习册系列答案
相关习题

科目:高中数学 来源:2017届江西省、宜春一中高三7月联考文科数学试卷(解析版) 题型:选择题

袋中共有6个大小质地完全相同的小球,其中有2个红球、1个白球和3个黑球,从袋中任取两球,至少有一个黑球的概率为( )

A. B. C. D.

查看答案和解析>>

科目:高中数学 来源:2015-2016学年安徽省高一下期末数学试卷(解析版) 题型:选择题

执行下面的程序框图,则输出的的值为( )

A.10 B.34 C.36 D.154

查看答案和解析>>

科目:高中数学 来源:2017届广州省惠州市高三第一次调研文科数学试卷(解析版) 题型:填空题

已知,点的坐标为 ,当时,点满足的概率为 .

查看答案和解析>>

科目:高中数学 来源:2017届广州省惠州市高三第一次调研文科数学试卷(解析版) 题型:选择题

已知,则的最小值是( )

(A)32 (B) (C) (D)

查看答案和解析>>

科目:高中数学 来源:2015-2016学年黑龙江鹤岗一中高二下期末理科数学试卷(解析版) 题型:解答题

已知函数为奇函数,且相邻两对称轴间的距离为.

(1)当时,求的单调递减区间;

(2)将函数的图象沿轴方向向右平移个单位长度,再把横坐标缩短到原来的(纵坐标不变),得到函数的图象.当时,求函数的值域.

查看答案和解析>>

科目:高中数学 来源:2015-2016学年黑龙江鹤岗一中高二下期末理科数学试卷(解析版) 题型:填空题

复数的虚部为________.

查看答案和解析>>

科目:高中数学 来源:2016届北京市大兴区高三4月统一练习文科数学试卷(解析版) 题型:解答题

已知等差数列的公差为1,且成等比数列.

(1)求数列的通项公式及其前n项和

(2)若数列的前n项和为,证明<2.

查看答案和解析>>

科目:高中数学 来源:2015-2016学年广东实验中学等高二下期末理科数学试卷(解析版) 题型:解答题

中,角所对的边分别为,已知

(1)求角的大小;

(2)若,求的面积.

查看答案和解析>>

同步练习册答案