精英家教网 > 高中数学 > 题目详情

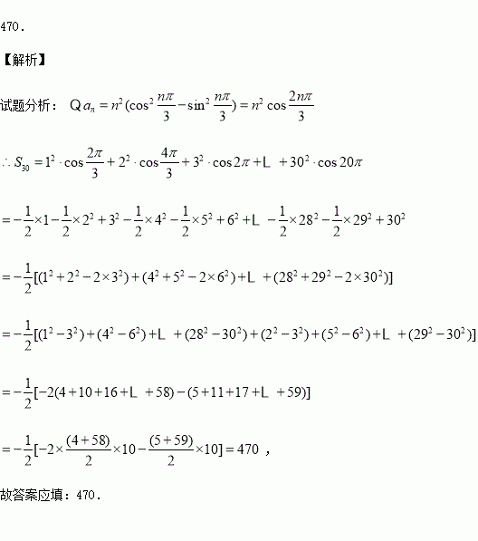
数列的通项,其前项和为,则

练习册系列答案
相关习题

科目:高中数学 来源:2015-2016学年辽宁省大连市高二上期中理科数学试卷(解析版) 题型:选择题

双曲线的离心率为

(A) (B) (C) (D)

查看答案和解析>>

科目:高中数学 来源:2015-2016学年广东省普宁市高二上期中文科数学试卷(解析版) 题型:解答题

(本小题满分12分)

已知,且

(Ⅰ)求的值;

(Ⅱ)若,求的值.[来源

查看答案和解析>>

科目:高中数学 来源:2016届重庆市高三上学期第三次月考理科数学试卷(解析版) 题型:填空题

的展开式中常数项为

查看答案和解析>>

科目:高中数学 来源:2016届云南省玉溪市高三上学期期中文科数学试卷(解析版) 题型:选择题

已知双曲线与抛物线有一个共同的焦点,两曲线的一个交点为,若,则点F到双曲线的渐近线的距离为( )

A. B. C. D.

查看答案和解析>>

科目:高中数学 来源:2016届辽宁省葫芦岛市高三上学期期中文科数学试卷(解析版) 题型:填空题

设过曲线为自然对数的底数)上任意一点处的切线为,总存在过曲线上一点处的切线,使得,则实数的取值范围为

查看答案和解析>>

科目:高中数学 来源:2016届辽宁省葫芦岛市高三上学期期中理科数学试卷(解析版) 题型:选择题

对于直线和平面的一个充分条件是( )

A.

B.

C.

D.

查看答案和解析>>

科目:高中数学 来源:2016届黑龙江省牡丹江市高三上学期期中理科数学试卷(解析版) 题型:选择题

已知,则( )

A. B. C. D.

查看答案和解析>>

科目:高中数学 来源:2015-2016学年吉林实验中学高二上学期期中理科数学试卷(解析版) 题型:选择题

(1)方程所表示的曲线是

(A)一个圆

(B)一条直线

(C)一个点和一条直线

(D)一条直线和一个圆

查看答案和解析>>

同步练习册答案