精英家教网 > 高中数学 > 题目详情

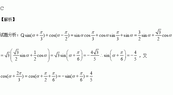
已知等于( )

A. B. C. D.

练习册系列答案
相关习题

科目:高中数学 来源:2015-2016学年广东省英德市高一上学期第一次月考数学试卷(解析版) 题型:选择题

如果函数f(x)在[a,b]上是增函数,对于任意的x1,x2∈[a,b](x1≠x2),下列结论不正确的是( )

A.>0

B.f(a)<f(x1)<f(x2)<f(b)

C.(x1-x2) [f(x1)-f(x2)]>0

D.>0

查看答案和解析>>

科目:高中数学 来源:2015-2016学年安徽省阜阳市高二上第一次调研考文科数学试卷(解析版) 题型:选择题

对于任意实数,命题①若;②若,则;③若,则;④若,则 ;⑤若,则。其中正确的个数是( )

A.1 B.2 C.3 D.4

查看答案和解析>>

科目:高中数学 来源:2016届山东师大附中高三上学期二模文科数学试卷(解析版) 题型:选择题

已知( )

A. B. C. D.

查看答案和解析>>

科目:高中数学 来源:2016届黑龙江哈尔滨六中高三上期中文科数学试卷(解析版) 题型:解答题

选修4一1:几何证明选讲

如图,是圆的直径,弦于点延长线上一点,切圆

(1)求证:为等腰三角形;

(2)求线段的长.

查看答案和解析>>

科目:高中数学 来源:2016届黑龙江哈尔滨六中高三上期中理科数学试卷(解析版) 题型:选择题

,则的( )

A.充分不必要条件 B.必要不充分条件

C.充要条件 D.既不充分又不必要条件

查看答案和解析>>

科目:高中数学 来源:2016届福建省高三第一次月考理科数学试卷(解析版) 题型:解答题

函数的定义域为A,定义域为B.

(1)求A; (2)若, 求实数的取值范围.

查看答案和解析>>

科目:高中数学 来源:2015-2016学年四川成都七中高二10月段考文科数学试卷(解析版) 题型:选择题

平面上到定点距离为且到定点距离为的直线共有条,则的取值范是( )

A. B. C. D.

查看答案和解析>>

科目:高中数学 来源:2014-2015学年浙江省嵊州市高二下期末检测文科数学A卷(解析版) 题型:填空题

定义,若关于的方程 恰有二个不同的实根,则的值为

查看答案和解析>>

同步练习册答案