精英家教网 > 高中数学 > 题目详情
已知空间三点A(0,2,3) 、B (-2 ,1 ,6 )、C(1,-1,5).
(1)求以为邻边的平行四边形面积;
(2)若,且a分别与垂直,求向量a的坐标.
解:(1)由题中条件可知=(-2,-1,3),=(1,-3,2),


∴以为邻边的平行四边形面积
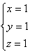
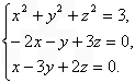
(2)设a=(x,y,z),
由题意得
解得
∴a=(1,1,1)或a=(-1,-1,-1)。
练习册系列答案
相关习题

科目:高中数学 来源: 题型:

已知空间三点A(0,2,3),B(-2,1,6),C(1,-1,5).
(Ⅰ)求以AB、AC为边的平行四边形的面积;
(Ⅱ)若向量
a
分别与
AB
AC
垂直,且|a|=
3
,求
a
的坐标.

查看答案和解析>>

科目:高中数学 来源: 题型:

已知空间三点A(0,2,3),B(-2,1,6),C(1,-1,5)
求:(1)求以向量
AB
AC
为一组邻边的平行四边形的面积S;
(2)若向量a分别与向量
AB
AC
垂直,且|a|=
3
,求向量a的坐标.

查看答案和解析>>

科目:高中数学 来源: 题型:

已知空间三点A(0,2,3),B(-2,1,6),C(1,-1,5),则以AB,AC为边的平行四边形的面积是
7
3
7
3

查看答案和解析>>

科目:高中数学 来源: 题型:

已知空间三点A(0,2,3),B(-2,1,6),C(1,-1,5),
a
=(x,y,1)
,若向量
a
分别与
AB
AC
垂直则向量
a
的坐标为
 

查看答案和解析>>

科目:高中数学 来源: 题型:

已知空间三点A(0,0,2),B(0,2,2),C(2,0,2),求平面ABC的一个法向量.

查看答案和解析>>

同步练习册答案