将正偶数按如图所示的规律排列:
2
4 6
8 10 12
14 16 18 20
…
则第n(n≥4)行从左向右的第4个数为 .
【答案】
分析:根据图形求出第n(n≥4)行从左向右的第4个数所在正偶数数列中的项数,然后运用等差数列的通项公式求解.
解答:解:由图可知,每一行的数构成以1为首项,以为公差的等差数列,
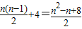
则第n-1行的最后一个数为

,
则第n(n≥4)行从左向右的第4个数为所有正偶数构成数列的第

项,
而所有正偶数构成数列为以2为首项,以2为公差的等差数列,
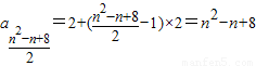
则

.
所以,第n(n≥4)行从左向右的第4个数为n
2-n+8.
故答案为n
2-n+8.
点评:本题考查了数列的函数特性,考查了学生分析和观察图形的能力,考查了等差数列的通项公式,解答此题的关键是找出所求项是原等差数列的第几项,此题是基础题.