精英家教网 > 高中数学 > 题目详情

已知函数,其中为常数,为自然对数的底数.

(1)求的单调区间;

(2)若,且在区间上的最大值为,求的值;

(3)当时,试证明:.

 

【答案】

(1)单调增区间为,单调减区间为;(2);(3)证明过程详见解析.

【解析】

试题分析:本题主要考查导数的运算,利用导数研究函数的单调性、最值、不等式等基础知识,考查函数思想、分类讨论思想,考查综合分析和解决问题的能力.第一问,讨论的正负来求单调性,利用导数大于0或小于0,通过解不等式来求函数的单调性;第二问,讨论方程的根与已知区间的关系,先判断函数的单调性,再求最值,列出方程解出的值;第三问,证明“”两边的两个函数的最值,来证明大小关系.

试题解析:(1)                 1分

时,恒成立,故的单调增区间为      3分

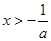
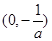
时,令解得,令解得,故的单调增区间为的单调减区间为             5分

(2)由(I)知,

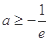
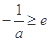
①当,即时,上单调递增,∴舍;   7分

②当,即时,上递增,在上递减,

,令,得        9分

(Ⅲ)即要证明,                     10分

由(Ⅰ)知当时,,∴,        11分

又令,                  12分

上单调递增,在上单调递减,             13分

                         14分

即证明.

考点:1.利用导数判断函数的单调性;2.利用导数求函数最值.

 

练习册系列答案
相关习题

科目:高中数学 来源: 题型:

(本小题满分13分)

已知函数,其中为常数,且

时,求 )上的值域;

对任意恒成立,求实数的取值范围。

查看答案和解析>>

科目:高中数学 来源: 题型:

已知函数,其中为常数.那么“”是“为奇函数”的(   )

(A)充分而不必要条件(B)必要而不充分条件

(C)充分必要条件   (D)既不充分也不必要条件

查看答案和解析>>

科目:高中数学 来源:2013-2014学年安徽“江淮十校”协作体高三上学期第一次联考文数学卷(解析版) 题型:解答题

已知函数(其中为常数).

(I)当时,求函数的最值;

(Ⅱ)讨论函数的单调性.

 

查看答案和解析>>

科目:高中数学 来源:2013-2014学年四川省高三上学期期中考试理科数学试卷(解析版) 题型:解答题

已知函数(其中为常数).

(Ⅰ)当时,求函数的单调区间;

(Ⅱ)当时,设函数的3个极值点为,且.证明:.

 

查看答案和解析>>

科目:高中数学 来源:2010-2011学年上海市高三上学期期中考试数学卷 题型:解答题

(本题满分16分,第1小题5分,第2小题6分,第3小题5分)

    已知函数,其中为常数,且

   (1)若是奇函数,求的取值集合A;

   (2)(理)当时,设的反函数为,且函数的图像与的图像关于对称,求的取值集合B;

   (文)当时,求的反函数;

   (3)(理)对于问题(1)(2)中的A、B,当时,不等式恒成立,求的取值范围。

   (文)对于问题(1)中的A,当时,不等式恒成立,求的取值范围。

 

查看答案和解析>>

同步练习册答案