精英家教网 > 高中数学 > 题目详情

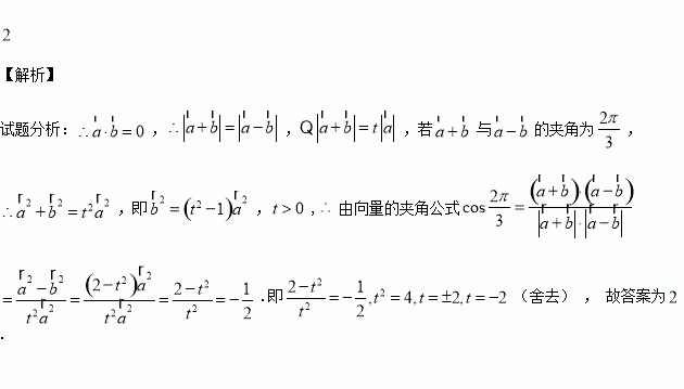
已知,若的夹角为,则的值为________.

练习册系列答案
相关习题

科目:高中数学 来源:2016届云南省高考复习质量六理科数学试卷(解析版) 题型:填空题

,则二项式展开式中含项的系数是

查看答案和解析>>

科目:高中数学 来源:2016届安徽省高三第九次月考文科数学试卷(解析版) 题型:解答题

如图,在四棱锥中,底面是菱形,交于点

(1)求证:

(2)若平面平面,求点到平面的距离.

查看答案和解析>>

科目:高中数学 来源:2016届安徽省高三第九次月考文科数学试卷(解析版) 题型:选择题

若集合,则( )

A. B. C. D.

查看答案和解析>>

科目:高中数学 来源:2016届安徽省高三第九次月考理科数学试卷(解析版) 题型:解答题

设数列的前项和分别为

(1)求数列的通项公式;

(2)证明:

查看答案和解析>>

科目:高中数学 来源:2016届安徽省高三第九次月考理科数学试卷(解析版) 题型:选择题

如图,矩形内的阴影部分是由曲线及直线轴围成,向矩形内随机投掷一点,若此点落在阴影部分的概率为,则的值是( )

A. B. C. D.

查看答案和解析>>

科目:高中数学 来源:2016届安徽省高三第九次月考理科数学试卷(解析版) 题型:选择题

设复数在复平面内对应的点关于虚轴对称,若,则的虚部为( )

A. B. C. D.

查看答案和解析>>

科目:高中数学 来源:2015-2016学年河北武邑中学高二下4.17周考文数学卷(解析版) 题型:选择题

则下列不等式中恒成立的是( )

A. B.

C. D.

查看答案和解析>>

科目:高中数学 来源:2015-2016学年北大附中河南分校高一宏志班下期中数学卷(解析版) 题型:选择题

已知,则的最小值是( )

A.2 B. C.4 D.

查看答案和解析>>

同步练习册答案