精英家教网 > 高中数学 > 题目详情
在首项为21,公比为的等比数列中,最接近1的项是( )
A.第三项
B.第四项
C.第五项
D.第六项
【答案】分析:只要先求出等比数列的通项,然后结合选项求出几项,即可比较
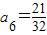
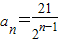
解答:解:由等比数列的通项公式可得,
≈1.31,≈0.66
∴,≈1.31与1最接近
故选C
点评:本题主要考查了等比数列的通项公式的简单应用,属于基础试题
练习册系列答案
相关习题

科目:高中数学 来源: 题型:

在首项为21,公比为
1
2
的等比数列中,最接近1的项是(  )

查看答案和解析>>

科目:高中数学 来源:学习周报 数学 北师大课标高二版(必修5) 2009-2010学年 第13期 总第169期 北师大课标版(必修5) 题型:013

在首项为21,公比为的等比数列中,最接近1的项是

[  ]
A.

3

B.

4

C.

5

D.

6

查看答案和解析>>

同步练习册答案