精英家教网 > 高中数学 > 题目详情

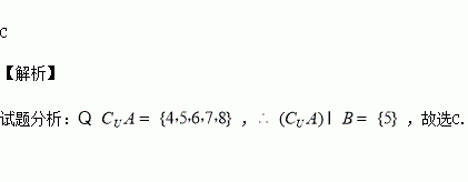
设集合,则( )

A. B. C. D.

练习册系列答案
相关习题

科目:高中数学 来源:2016年全国普通高等学校招生统一考试文科数学(全国2卷参考版) 题型:选择题

某路口人行横道的信号灯为红灯和绿灯交替出现,红灯持续时间为40秒.若一名行人来到该路口遇到红灯,则至少需要等待15秒才出现绿灯的概率为( )

(A) (B) (C) (D)

查看答案和解析>>

科目:高中数学 来源:2015-2016学年贵州省高二下期中数学试卷(解析版) 题型:选择题

中,已知,这个三角形的面积等于( )

A. B.15 C. D.

查看答案和解析>>

科目:高中数学 来源:2015-2016学年贵州省高二下期中数学试卷(解析版) 题型:选择题

不等式的解集是( )

A. B. C. D.

查看答案和解析>>

科目:高中数学 来源:2015-2016学年贵州省高二下期中数学试卷(解析版) 题型:选择题

函数,则的值域是( )

A. B. C. D.

查看答案和解析>>

科目:高中数学 来源:2015-2016学年安徽六安一中高一下周末作业九数学试卷(解析版) 题型:解答题

平面内有三个点(其中),点为坐标原点,且.

(1)求的值;

(2)求向量的夹角.

查看答案和解析>>

科目:高中数学 来源:2015-2016学年安徽六安一中高一下周末作业九数学试卷(解析版) 题型:选择题

在直角中,是斜边上的高,则下列等式不成立的是( )

A. B.

C. D.

查看答案和解析>>

科目:高中数学 来源:2015-2016学年湖南长郡中学高一下期中数学试卷(解析版) 题型:填空题

中,,则

查看答案和解析>>

科目:高中数学 来源:2015-2016学年河北省高二4月月考文科数学试卷(解析版) 题型:填空题

若数列对任意的正整数等式都成立,则称数列阶梯等比数列.若阶梯等比数列有,则

查看答案和解析>>

同步练习册答案