精英家教网 > 高中数学 > 题目详情
已知{an}为公比q>1的等比数列,若a2005和a2006是方程4x2-8x+3=0的两根,则a2007+a2008的值是( )
A.18
B.19
C.20
D.21
【答案】分析:先利用一元二次方程的根与系数的关系得到以a2005+a2006=-=2和a2005•a2006=;再把所得结论用a2005和q表示出来,求出q;最后把所求问题也用a2005和q表示出来即可的出结论.
解答:解:设等比数列的公比为q.
因为a2005和a2006是方程4x2-8x+3=0的两个根
所以a2005+a2006=-=2,a2005•a2006=
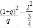
∴a2005(1+q)=2    ①
a2005•a2005•q=    ②
==
又因为q>1,所以解得q=3.
∴a2007+a2008=a2005•q2+a2005•q3
=a2005•(1+q)•q2=2×32=18.
故选A.
点评:本题主要考查一元二次方程的根的分布与系数的关系以及等比数列的性质.在解决本题的过程中用到了整体代入的思想,当然本题也可以求出首项和公比再代入计算.
练习册系列答案
相关习题

科目:高中数学 来源: 题型:

已知{an}为公比q>1的等比数列,若a2005和a2006是方程4x2-8x+3=0的两根,则a2007+a2008的值是(  )

查看答案和解析>>

科目:高中数学 来源: 题型:

已知{an}为公比q>1的等比数列,若a2005和a2006是方程4x2-8x+3=0的两根,则
a2013+a2012
a2012+a2011
的值是(  )

查看答案和解析>>

科目:高中数学 来源:不详 题型:单选题

已知{an}为公比q>1的等比数列,若a2005和a2006是方程4x2-8x+3=0的两根,则a2007+a2008的值是(  )
A.18B.19C.20D.21

查看答案和解析>>

科目:高中数学 来源:2011-2012学年山东省临沂市沂南一中高二(上)期中数学试卷(理科)(解析版) 题型:选择题

已知{an}为公比q>1的等比数列,若a2005和a2006是方程4x2-8x+3=0的两根,则a2007+a2008的值是( )
A.18
B.19
C.20
D.21

查看答案和解析>>

科目:高中数学 来源:2009-2010学年福建省福州市永泰县城关中学高二(上)10月月考数学试卷(解三角形与数列)(解析版) 题型:选择题

已知{an}为公比q>1的等比数列,若a2005和a2006是方程4x2-8x+3=0的两根,则a2007+a2008的值是( )
A.18
B.19
C.20
D.21

查看答案和解析>>

同步练习册答案