精英家教网 > 高中数学 > 题目详情

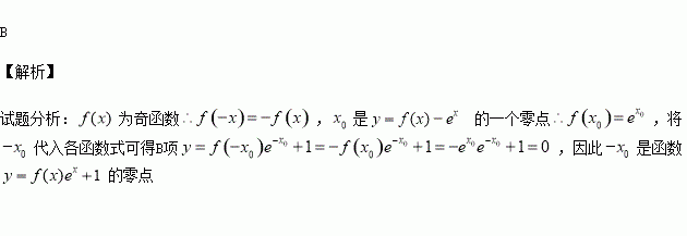
为奇函数,且 的一个零点,则一定是下列哪个函数的零点 ( )

A. B.

C. D.

练习册系列答案
相关习题

科目:高中数学 来源:2015-2016学年广东省清远市实验学校高二上学期期中数学试卷(解析版) 题型:填空题

在点处的切线方程为________。

查看答案和解析>>

科目:高中数学 来源:2015-2016学年湖南省高二上学期期中考试理科数学试卷(解析版) 题型:填空题

若方程表示椭圆,则k的取值范围为__________.

查看答案和解析>>

科目:高中数学 来源:2015-2016学年福建省高二上学期期中考试理科数学试卷(解析版) 题型:选择题

已知四个数成等差数列,四个数成等比数列,则点

与直线的位置关系是( )

A.都在直线的下方

B.在直线的下方,在直线上方

C.在直线的上方,在直线下方

D.都在直线的上方

查看答案和解析>>

科目:高中数学 来源:2014-2015学年上海市高二下学期期末考试数学试卷(解析版) 题型:填空题

分别是双曲线的左、右焦点,若点在双曲线上,且,则

查看答案和解析>>

科目:高中数学 来源:2015-2016学年山东省临沂市高二上期中模拟理数学试卷(解析版) 题型:填空题

在等差数列{an} 中,Sn是它的前n项和.若S16>0,且S17<0,则当Sn最大时n的值为________

查看答案和解析>>

科目:高中数学 来源:2015-2016学年辽宁省大连市高二上期中文科数学试卷(解析版) 题型:选择题

”是“方程”表示椭圆”的

(A)充分而不必要条件 (B)必要而不充分条件

(C)充要条件 (D)既不充分也不必要条件

查看答案和解析>>

科目:高中数学 来源:2015-2016学年江西省赣州市十三县高二上期中联考文科数学试卷(解析版) 题型:选择题

等比数列的公比为,若成等差数列.且,则 ( )

A. B.1 C.2 D.3

查看答案和解析>>

科目:高中数学 来源:2016届重庆市高三上学期第三次月考文科数学试卷(解析版) 题型:填空题

已知球的表面积为,用一个平面截球,使截面圆的半径为2,则球心到截面的距离为

查看答案和解析>>

同步练习册答案