精英家教网 > 高中数学 > 题目详情

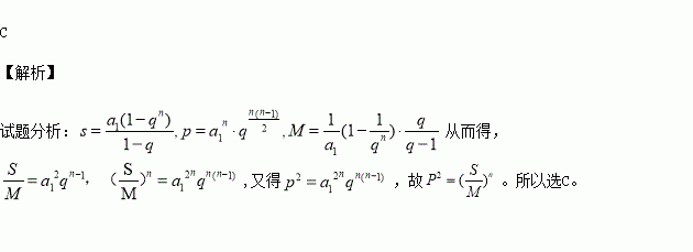
若等比数列的各项均为正数,前项的和为,前项的积为,前项倒数的和为,则有( )

A. B. C. D.

练习册系列答案
相关习题

科目:高中数学 来源:2015-2016学年江苏省高一上期中考试数学试卷(解析版) 题型:填空题

函数值域为

查看答案和解析>>

科目:高中数学 来源:2014-2015学年四川省宜宾市高一下学期期末测试数学试卷(解析版) 题型:选择题

被直线截得的弦长是

(A) (B) (C) (D)

查看答案和解析>>

科目:高中数学 来源:2014-2015学年山西省高二上学期第一次月考数学试卷(解析版) 题型:选择题

如图6是一建筑物的三视图(单位:米),现需将其外壁用油漆刷一遍,若每平方米用漆千克,则共需油漆的质量为( )

A.千克 B.千克

C.千克 D.千克

查看答案和解析>>

科目:高中数学 来源:2014-2015学年江西省上饶市等四校高一6月考理科数学试卷(解析版) 题型:选择题

由正数组成的等比数列中,若,则的值为( )

A、 B、 C、1 D、

查看答案和解析>>

科目:高中数学 来源:2014-2015学年湖北武汉一中等重点中学高一下学期期中理科数学试卷(解析版) 题型:选择题

已知等比数列,则等于( )

A. B.

C. D.

查看答案和解析>>

科目:高中数学 来源:2014-2015学年贵州省高二上学期期中文科数学试卷(解析版) 题型:选择题

执行右面的程序框图,如果输入的,则输出的属于 ( )。

A、 B、 C、 D、

查看答案和解析>>

科目:高中数学 来源:2016届西藏日喀则一中高三10月检测文科数学试卷(解析版) 题型:选择题

名优秀毕业生到母校的个班去作学习经验交流,则每个班至少去一名的不同分派方法种数为( )

A. B. C. D.

查看答案和解析>>

科目:高中数学 来源:2015-2016学年湖北宜昌一中高二上学期期中理科数学试卷(解析版) 题型:解答题

(本题满分12分)已知命题P:“,都有不等式成立”,命题Q:“关于的方程只有一个实数根”

(Ⅰ)若命题P是真命题,求实数的取值集合B;

(Ⅱ)若命题“P且Q”为假,命题“P或Q”为真,求实数的取值范围.

查看答案和解析>>

同步练习册答案