【答案】
分析:(1)由题意知S
1=-a
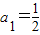
1-1+2=a
1,

,

所以2
na
n=2
n-1a
n-1+1,b
n=b
n-1+1,再由b
1=2a
1=1,知数列b
n是首项和公差均为1的等差数列.于是b
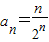
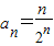
n=1+(n-1)•1=n=2
na
n,所以

(2)

,

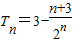
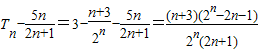
,利用错位相减求和法可知


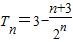
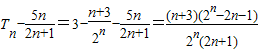
,于是确定T
n与

的大小关系等价于比较2
n与2n+1的大小.猜想当n=1,2时,2
n<2n+1,当n≥3时,2
n>2n+1.然后用数学归纳法证明.
解答:解:(1)在

中,令n=1,可得S
1=-a
1-1+2=a
1,即

当n≥2时,

所以

所以

,即2
na
n=2
n-1a
n-1+1
因为b
n=2
na
n,所以b
n=b
n-1+1,即当n≥2时,b
n-b
n-1=1
又b
1=2a
1=1,所以数列b
n是首项和公差均为1的等差数列
于是b
n=1+(n-1)•1=n=2
na
n,所以

(2)由1)得

所以

①

②
由①-②得

所以


于是确定T
n与

的大小关系等价于比较2
n与2n+1的大小.
猜想当n=1,2时,2
n<2n+1,当n≥3时,2
n>2n+1
下面用数学归纳法证明:
当n=3时,显然成立
假设当n=k(k≥3)时,2
k>2k+1成立
则当n=k+1时,2
k+1=2•2
k>2(2k+1)=4k+2=2(k+1)+1+(2k-1)>2(k+1)+1
所以当n=k+1时,猜想也成立.
于是,当n≥3,n∈N
*时,2
n>2n+1成立
综上所述,当n=1,2时,

,
当n≥3时,
点评:本题考查当数列的综合运用,难度较大,解题时要认真审题,注意挖掘隐含条件,解题时要注意数学归纳法的解题过程.