精英家教网 > 高中数学 > 题目详情
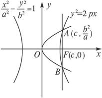
已知双曲线=1(a>b>0)的一条通径(过焦点垂直于焦点所在对称轴的弦)与抛物线y2=2px(p>0)的通径重合,则双曲线的离心率为

A.+1              B.2-1              C.+1             D.2-1

A  如图,F为焦点,AB为通径.

∴F(,0),∴c=.当x=c时,代入=1,得y=.又c=2p,代入y2=2px,得y=p,

∴p=.又a2+b2=c2,∴a2+pa=.∴4a2+4pa-p2=0.∴a=p或p(舍去).

∴e===+1.∴离心率为+1.

练习册系列答案
相关习题

科目:高中数学 来源: 题型:

已知双曲线=1(a>0,b>0)的动弦BC平行于虚轴,MN是双曲线的左、右顶点,

(1)求直线MBCN的交点P的轨迹方程;

(2)若P(x1,y1),B(x2,y2),求证:ax1x2的比例中项.

查看答案和解析>>

科目:高中数学 来源: 题型:

已知双曲线=1(a>0,b>0)的离心率e∈[,2],令双曲线两条渐近线构成的角中,以实轴为角平分线的角为θ,则θ的取值范围是(    )

A.[]                    B.[

C.[]                  D.[,π]

查看答案和解析>>

科目:高中数学 来源: 题型:

已知双曲线=1(a>0,b>0)的右焦点为F,若过F且倾斜角为60°的直线与双曲线有且只有一个交点,则双曲线的离心率是(    )

A.            B.           C.4              D.2

查看答案和解析>>

科目:高中数学 来源: 题型:

已知双曲线=1(a>0,b>0)的一条渐近线为y=kx(k>0),离心率e=k,则双曲线方程为(    )

A.=1                              B.=1

C.=1                               D.=1

查看答案和解析>>

科目:高中数学 来源: 题型:

已知双曲线=1(a>0,b>0)的右焦点为F,右准线与一条渐近线交于点A,△OAF的面积为(O为原点),则两条渐近线的夹角为(    )

A.30°        B.45°        C.60°          D.90°

查看答案和解析>>

同步练习册答案