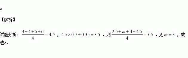
精英家教网 > 高中数学 > 题目详情

下表是降耗技术改造后生产甲产品过程中记录的产量(吨)与相应的生产能耗(吨标准煤)的几组对应数据,根据表中提供的数据,求出关于的线性回归方程为,那么表中值为( )

A. B. C. D.

练习册系列答案
相关习题

科目:高中数学 来源:2015-2016学年福建上杭一中高一下期末模拟二数学试卷(解析版) 题型:选择题

已知向量的夹角为,且,若,且,则实数的值为( )

A. B. C. D.

查看答案和解析>>

科目:高中数学 来源:2016届辽宁省高三四模理科数学试卷(解析版) 题型:填空题

展开式的二项式系数之和为128,则展开式中的系数为________.

查看答案和解析>>

科目:高中数学 来源:2015-2016学年福建上杭一中高一下期末模拟一数学试卷(解析版) 题型:解答题

(1)求值:

(2)求证:).

查看答案和解析>>

科目:高中数学 来源:2015-2016学年福建上杭一中高一下期末模拟一数学试卷(解析版) 题型:选择题

函数的图象大致为( )

查看答案和解析>>

科目:高中数学 来源:2015-2016学年福建上杭一中高一下期末模拟一数学试卷(解析版) 题型:选择题

计算的值是( )

A. B. C. D.

查看答案和解析>>

科目:高中数学 来源:2015-2016学年广西桂林十八中高二下期中文科数学试卷(解析版) 题型:解答题

为了解人们对于国家新颁布的“生育二胎放开”政策的热度,现在某市进行调查,随机抽调了50人,他们年龄的频数分布及支持“生育二胎”人数如下表:

(Ⅰ)由以上统计数据填下面2乘2列联表,并问是否有99%的把握认为以45岁为分界点对“生育二胎放开”政策的支持度有差异;

(Ⅱ)若对年龄在[5,15)的被调查人中各随机选取两人进行调查,恰好这两人都支持“生育二胎放开”的概率是多少? 参考数据:

查看答案和解析>>

科目:高中数学 来源:2015-2016学年广西桂林十八中高二下期中文科数学试卷(解析版) 题型:选择题

已知集合,则

A. B. C. D.

查看答案和解析>>

科目:高中数学 来源:2015-2016学年黑龙江省高二下期中文数学试卷(解析版) 题型:选择题

设曲线在点处的切线与直线垂直,则等于( )

A. 2 B. C. 1 D.

查看答案和解析>>

同步练习册答案