精英家教网 > 高中数学 > 题目详情
已知函数
(I)求g(x)的极小值;
(II)若y=f(x)-g(x)在[1,+∞)上为单调增函数,求m的取值范围;
(III)设(e是自然对数的底数)上至少存在一个x,使得f(x)-g(x)>h(x)成立,求m的取值范围.
【答案】分析:(Ⅰ)由题意,x>0,求导函数,确定函数的单调性,即可求得g(x)的极小值;
(Ⅱ)求导函数y′=,根据f(x)-g(x)在[1,+∞)内为单调增函数,所以mx2-2x+m≥0在[1,+∞)上恒成立,利用分离参数法,即可求得m的取值范围;
(III)当x=1时,f(1)-g(1)<h(1);当x∈(1,e]时,由f(x)-g(x)>h(x),得m>,构造函数,确定函数的最小值,即可求得m的取值范围.
解答:解:(Ⅰ)由题意,x>0,g′(x)=
∴当0<x<1时,g′(x)<0;当x>1时,g′(x)>0,
所以,g(x)在(0,1)上是减函数,在(1,+∞)上是增函数,故g(x)极小值=g(1)=1.  …(4分)
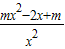
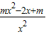
(Ⅱ)∵y=f(x)-g(x)=
∴y′=
由于f(x)-g(x)在[1,+∞)内为单调增函数,
所以mx2-2x+m≥0在[1,+∞)上恒成立,即m≥在[1,+∞)上恒成立,
∵(max=1,
∴m的取值范围是[1,+∞).               …(8分)
(III)当x=1时,f(1)-g(1)<h(1).
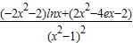
当x∈(1,e]时,由f(x)-g(x)>h(x),得m>,令G(x)=
则G′(x)=<0,
所以G(x)在(1,e]上递减,G(x)min=G(e)=
综上,要在[1,e]上存在一个x,使得f(x)-g(x)>h(x)成立,必须且只需m>
点评:本题考查导数的求法及应用、不等式中在恒成立和存在解不同状况下的参数范围的求法,考查学生运算能力、思维能力和解决问题的能力,属于难题.
练习册系列答案
相关习题

科目:高中数学 来源: 题型:解答题

已知函数数学公式
(I)求g(x)的极小值;
(II)若y=f(x)-g(x)在[1,+∞)上为单调增函数,求m的取值范围;
(III)设数学公式(e是自然对数的底数)上至少存在一个x0,使得f(x0)-g(x0)>h(x0)成立,求m的取值范围.

查看答案和解析>>

科目:高中数学 来源:2012-2013学年江西省南昌市高三(上)期中数学试卷(理科)(解析版) 题型:解答题

已知函数
(I)求g(x)的极小值;
(II)若y=f(x)-g(x)在[1,+∞)上为单调增函数,求m的取值范围;
(III)设(e是自然对数的底数)上至少存在一个x,使得f(x)-g(x)>h(x)成立,求m的取值范围.

查看答案和解析>>

科目:高中数学 来源:2012-2013学年安徽省凤阳艺荣高考补习学校高三(上)第八次月考数学试卷(文科)(解析版) 题型:解答题

已知函数
(I)求g(x)的极小值;
(II)若y=f(x)-g(x)在[1,+∞)上为单调增函数,求m的取值范围;
(III)设(e是自然对数的底数)上至少存在一个x,使得f(x)-g(x)>h(x)成立,求m的取值范围.

查看答案和解析>>

科目:高中数学 来源:2012-2013学年安徽省凤阳艺荣高考补习学校高三(上)第四次月考数学试卷(理科)(解析版) 题型:解答题

已知函数
(I)求g(x)的极小值;
(II)若y=f(x)-g(x)在[1,+∞)上为单调增函数,求m的取值范围;
(III)设(e是自然对数的底数)上至少存在一个x,使得f(x)-g(x)>h(x)成立,求m的取值范围.

查看答案和解析>>

同步练习册答案