精英家教网 > 高中数学 > 题目详情

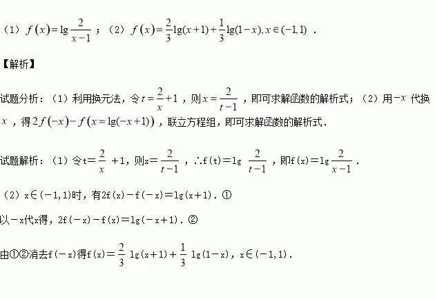
(1)已知,求

(2)定义在内的函数满足,求函数的解析式.

练习册系列答案
相关习题

科目:高中数学 来源:2015-2016学年河北省高一下期中数学试卷(解析版) 题型:选择题

”是直线与直线相交的( )

A.充分不必要条件

B.必要不充分条件

C.充要条件

D.既不充分也不必要条件

查看答案和解析>>

科目:高中数学 来源:2015-2016学年山西省高二5月月考理科数学试卷(解析版) 题型:选择题

已知随机变量ξ服从正态分布N(2,σ2).且P(ξ<4)=0.8,则P(0<ξ<2)等于( )

A.0.6 B.0.4 C.0.3 D.0.2

查看答案和解析>>

科目:高中数学 来源:2015-2016学年宁夏石嘴山三中高二下期中文科数学试卷(解析版) 题型:选择题

已知函数f (x)定义域是[1,3],则的定义域是( )

A. B. C. D.

查看答案和解析>>

科目:高中数学 来源:2015-2016学年宁夏石嘴山三中高二下期中文科数学试卷(解析版) 题型:选择题

集合{x∈N|x﹣3<2},用列举法表示是( )

A.{1,2,3,4} B.{1,2,3,4,5}

C.{0,1,2,3,4,5} D.{0,1,2,3,4}

查看答案和解析>>

科目:高中数学 来源:2015-2016学年河北邢台一中高二下期中文科数学试卷(解析版) 题型:填空题

已知集合A={m+2,2m2+m},若3∈A,则m的值为________.

查看答案和解析>>

科目:高中数学 来源:2015-2016学年河北邢台一中高二下期中文科数学试卷(解析版) 题型:选择题

阅读如下程序框图,如果输出i=4,那么空白的判断框中应填入的条件是( )

A.S<8 B.S<9 C.S<10 D.S<11

查看答案和解析>>

科目:高中数学 来源:2015-2016学年广东省高一下期中数学试卷(解析版) 题型:选择题

函数的最大值是( )

A. B. C. D.

查看答案和解析>>

科目:高中数学 来源:2015-2016学年重庆巴蜀中学高二下期中文科数学试卷(解析版) 题型:填空题

棱长为的正方体的所有顶点均在球的球面上,分别为的中点,则平面截球所得圆的半径为

查看答案和解析>>

同步练习册答案