精英家教网 > 高中数学 > 题目详情

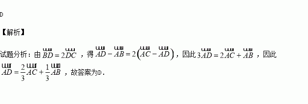
中,若点满足,则( )

A. B.

C. D.

练习册系列答案
相关习题

科目:高中数学 来源:2015-2016学年辽宁师范大学附属中学高二10月月考数学试卷(解析版) 题型:填空题

下列正确命题有

① “”是“”的充分不必要条件

②如果命题“()”为假命题,则 中至多有一个为真命题

③设a>0,b>1,若a+b=2,则+的最小值为3+2

④函数在(-1,1)上存在,使的取值范围是

查看答案和解析>>

科目:高中数学 来源:2015-2016学年江西省南昌市高一上学期期中考试数学试卷(解析版) 题型:选择题

,则等于 ( )

A、 B、 C、 D、

查看答案和解析>>

科目:高中数学 来源:2016届山东省高三第二次诊断性考试文科数学试卷(解析版) 题型:选择题

下列函数中,既是偶函数,又在区间内是增函数的是

A. B.

C. D.

查看答案和解析>>

科目:高中数学 来源:2016届河南省原名校高三上学期第一次联考文科数学试卷(解析版) 题型:解答题

(本小题满分12分)设命题函数的值域为;命题不等式对一切均成立.

(1)如果是真命题,求实数的取值范围;

(2)如果命题“”为真命题,且“”为假命题,求实数的取值范围.

查看答案和解析>>

科目:高中数学 来源:2016届河南省原名校高三上学期第一次联考理科数学试卷(解析版) 题型:填空题

已知点,则向量方向上的投影为

查看答案和解析>>

科目:高中数学 来源:2015-2016学年湖北省高二上期中文科数学试卷(解析版) 题型:解答题

(本小题满分10分)

(1)设函数,其中θ∈,求导数的取值范围;

(2)若曲线与曲线在它们的公共点处具有公共切线,

求公共切线的方程.

查看答案和解析>>

科目:高中数学 来源:2015-2016学年江苏省泰兴市高二上学期期中考试数学试卷(解析版) 题型:填空题

命题“”的否定是

查看答案和解析>>

科目:高中数学 来源:2014-2015学年浙江省等三校高二上学期期中考试数学试卷(解析版) 题型:填空题

△ABC的内角A、B、C的对边分别为a、b、c,若c=2,b=3,A=120°,则a=________.

查看答案和解析>>

同步练习册答案