【答案】
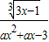
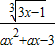
分析:由函数f(x)=

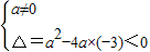
的定义域是R,表示函数的分母恒不为零,即方程ax
2+ax-3=0无解,根据一元二次方程根的个数与判断式△的关系,我们易得数a的取值范围.
解答:解:由a=0或

可得-12<a≤0,
故选B.
点评:求函数的定义域时要注意:(1)当函数是由解析式给出时,其定义域是使解析式有意义的自变量的取值集合.(2)当函数是由实际问题给出时,其定义域的确定不仅要考虑解析式有意义,还要有实际意义(如长度、面积必须大于零、人数必须为自然数等).(3)若一函数解析式是由几个函数经四则运算得到的,则函数定义域应是同时使这几个函数有意义的不等式组的解集.若函数定义域为空集,则函数不存在.(4)对于(4) 题要注意:①对在同一对应法则f 下的量“x”“x+a”“x-a”所要满足的范围是一样的;②函数g(x)中的自变量是x,所以求g(x)的定义域应求g(x)中的x的范围.