精英家教网 > 高中数学 > 题目详情

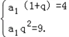
已知各项均为正数的等比数列{an}中,a1+a2=4,a3=9.
(Ⅰ)求数列{an}的通项公式;
(Ⅱ)设数列{bn}满足bn=log9an,求数列{bn}的前n项和Sn

解:(Ⅰ)因为数列{an}是各项均为正数的等比数列,且a1+a2=4,a3=9,所以可得:
解得a1=1,q=3.则数列{an}的通项公式为an=3 n﹣1(n∈N*).
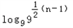
(Ⅱ)bn=log93 n﹣1==(n∈N*).
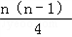
所以数列{bn}为等差数列,=(n∈N*).
练习册系列答案
相关习题

科目:高中数学 来源:2011届本溪县高二暑期补课阶段考试数学卷 题型:解答题

(本题满分12分)已知各项均为正数的数列
的等比中项。
(1)求证:数列是等差数列;(2)若的前n项和为Tn,求Tn

查看答案和解析>>

科目:高中数学 来源:2013-2014学年河北省石家庄高三上学期调研考试文科数学试卷(解析版) 题型:选择题

已知各项均为正数的等比数列中,的等比中项为,则的最小值为(    )

A.16    B.8    C.    D.4

 

查看答案和解析>>

科目:高中数学 来源:2013届辽宁朝阳柳城高中高三上第三次月考理科数学试卷(解析版) 题型:解答题

 已知各项均为正数的数列

的等比中项。

(1)求证:数列是等差数列;(2)若的前n项和为Tn,求Tn

 

查看答案和解析>>

科目:高中数学 来源:2013届辽宁朝阳柳城高中高三上第三次月考文科数学试卷(解析版) 题型:解答题

(12分)已知各项均为正数的数列

的等比中项。

(1)求证:数列是等差数列;

(2)若的前n项和为Tn,求Tn

 

查看答案和解析>>

科目:高中数学 来源:2010-2011学年本溪县高二暑期补课阶段考试数学卷 题型:解答题

(本题满分12分)已知各项均为正数的数列

的等比中项。

(1)求证:数列是等差数列;(2)若的前n项和为Tn,求Tn

 

查看答案和解析>>

同步练习册答案