精英家教网 > 高中数学 > 题目详情

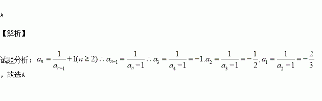
已知数列满足,若,则 ( ).

A. B. C. D.

练习册系列答案
相关习题

科目:高中数学 来源:2015-2016学年甘肃省定西市高一上学期第一次月考数学试卷(解析版) 题型:填空题

如果上的最大值是,那么上的最小值是_____.

查看答案和解析>>

科目:高中数学 来源:2015-2016学年四川成都市六校高二上学期期中联考理科数学试卷(解析版) 题型:解答题

(本小题满分12分)已知关于x,y的方程C:

(1)当m为何值时,方程C表示圆.

(2)若圆C与直线l: x+2y-4=0相交于M,N两点,且MN=,求m的值.

查看答案和解析>>

科目:高中数学 来源:2015-2016学年河北省高一上学期第一次月考数学试卷(解析版) 题型:填空题

函数的定义域是

查看答案和解析>>

科目:高中数学 来源:2015-2016学年广东省普宁市高一上学期期中考试数学试卷(解析版) 题型:选择题

若偶函数上是增函数,则下列关系式中成立的是( )

A.

B.

C.

D.

查看答案和解析>>

科目:高中数学 来源:2015-2016学年广西武鸣县高中高二上段考文科数学试卷(解析版) 题型:选择题

已知α为第二象限角,且sin α=,则tan(π+α)的值是( )

A. B. C. D.

查看答案和解析>>

科目:高中数学 来源:2016届湖南省常德市高三上第五次月考文科数学试卷(解析版) 题型:解答题

已知圆C的极坐标方程为,直线的参数方程为(t为参数,

(1)求直线的普通方程和圆C的直角坐标方程;

(2)求直线与圆C相交的弦长.

查看答案和解析>>

科目:高中数学 来源:2015-2016学年湖南师大附中高二上学期第三次检测数学卷(解析版) 题型:解答题

已知函数

(1)求的单调区间;

(2)若方程有四个不等实根,求实数的取值范围.

查看答案和解析>>

科目:高中数学 来源:2015-2016学年浙江省金兰教育合作组织高一上学期期中联考数学试卷(解析版) 题型:填空题

满足条件的集合 个.

查看答案和解析>>

同步练习册答案