精英家教网 > 高中数学 > 题目详情

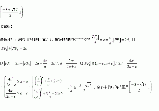
已知椭圆,F1,F2是左右焦点,是右准线,若椭圆上存在点P,使|PF1|是P到直线的距离的2倍,则椭圆离心率的取值范围是

练习册系列答案
相关习题

科目:高中数学 来源:2015-2016学年贵州遵义航天高中高二上学期期中数学试卷(解析版) 题型:填空题

表示三条不同的直线,表示平面,给出下列命题:

①若

②若

③若

其中真命题的序号是:_______ .

查看答案和解析>>

科目:高中数学 来源:2015-2016学年江西铅山一中 、横峰中学高二上学期期中理科数学卷(解析版) 题型:选择题

下面是两个变量的一组数据:

X

1

2

3

4

5

6

7

8

y

1

4

9

16

25

36

49

64

则这两个变量之间的线性回归方程是( )

A.y=-16+9x B.y=31-x C.y=30-x D.y=-15+9x

查看答案和解析>>

科目:高中数学 来源:2015-2016学年湖南省高二上学期期中文科数学试卷(解析版) 题型:解答题

已知函数f(x)=,若数列{an}(n∈N*)满足:a1=1,an+1=f(an).

(Ⅰ)证明数列{}为等差数列,并求数列{an}的通项公式;

(Ⅱ)设数列{cn}满足:cn=,求数列{cn}的前n项的和Sn.

查看答案和解析>>

科目:高中数学 来源:2015-2016学年山东省高一上学期期中模块考试数学试卷(解析版) 题型:填空题

幂函数的图象过点,那么的值为

查看答案和解析>>

科目:高中数学 来源:2015-2016学年江苏省大丰市高二上学期期中考试数学试卷(解析版) 题型:解答题

已知双曲线C的方程为:

(1)求双曲线C的离心率;

(2)求与双曲线C有公共的渐近线,且经过点A()的双曲线的方程。

查看答案和解析>>

科目:高中数学 来源:2015-2016学年吉林省扶余市高一上学期期中考试数学试卷(解析版) 题型:选择题

( )

A.6 B.5 C.4 D.3

查看答案和解析>>

科目:高中数学 来源:2015-2016学年湖南省高二上学期期中考试理科数学试卷(解析版) 题型:选择题

,则的最小值是( )

A.6 B.12 C.24 D.16

查看答案和解析>>

科目:高中数学 来源:2015-2016学年辽宁省大连市高二上期中理科数学试卷(解析版) 题型:解答题

(本小题满分12分)

已知动点在双曲线上,定点,求的最小值以及取最小值时点的横坐标.

查看答案和解析>>

同步练习册答案