精英家教网 > 高中数学 > 题目详情

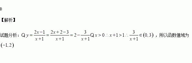
函数的值域为 ( )

A、 B、

C、 D、

练习册系列答案
相关习题

科目:高中数学 来源:2016届黑龙江省高三上学期期中理科数学试卷(解析版) 题型:选择题

已知的内部,满足0,则的面积与的面积之比为

( )

A. B. C. D.

查看答案和解析>>

科目:高中数学 来源:2015-2016学年广东省深圳市高一上学期期中数学试卷(解析版) 题型:解答题

(本小题满分12分).已知为定义在 上的奇函数,当时,函数解析式为

(Ⅰ)求上的解析式;

(Ⅱ)求上的最值.

查看答案和解析>>

科目:高中数学 来源:2014-2015学年山西襄汾赵曲中学高一上学期第一次月考人教版数学试卷(解析版) 题型:解答题

(8分)已知集合A={x|3≤x<10},集合B={x|2x-8≥0}.

(1)求A∪B;

(2)求∁R(A∩B).

查看答案和解析>>

科目:高中数学 来源:2015-2016学年四川省德阳市高二10月月考数学试卷(解析版) 题型:选择题

若圆上有且只有两个点到直线距离等于,则半径取值范围是( )

A. B. C. D.

查看答案和解析>>

科目:高中数学 来源:2015-2016学年内蒙古巴彦淖尔市高一10月月考数学试卷(解析版) 题型:选择题

设函数,若,则实数=( )

A.-4或-2 B.-2或2 C.-2或4 D.-4或2

查看答案和解析>>

科目:高中数学 来源:2015-2016学年江苏省泰州市姜堰区高二上学期期中考试文科数学试卷(解析版) 题型:填空题

若焦点在x轴上过点的椭圆焦距为2,则椭圆的标准方程为

查看答案和解析>>

科目:高中数学 来源:2015-2016学年河北省高一10月月考数学试卷(解析版) 题型:选择题

若集合A={0,1,2,3},B={1,2,4},则集合A∪B=( )

A.{0,1,2,3,4} B.{1,2,3,4} C.{1,2} D.{0}

查看答案和解析>>

科目:高中数学 来源:2015-2016学年广东省高二上学期期中考试理科数学试卷(解析版) 题型:填空题

若圆上存在两点关于直线对称,则的最小值为______________

查看答案和解析>>

同步练习册答案