精英家教网 > 高中数学 > 题目详情

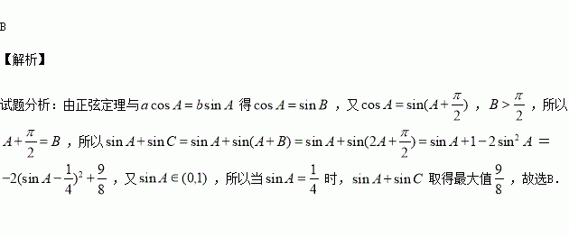
中,角所对的边分别为.若,且,则的最大值是( )

A. B. C. D.

练习册系列答案
相关习题

科目:高中数学 来源:2015-2016学年湖南娄底市高一下学期期末数学试卷(解析版) 题型:选择题

已知一组数据x1,x2,x3,x4,x5的平均数是2,方差是,那么另一组数据2x1-1,2x2-1,2x3-1,2x4-1,2x5-1的平均数,方差分别是

A.3, B.3, C.4, D.4,

查看答案和解析>>

科目:高中数学 来源:2016届陕西省高三高考全真模拟(五)考试数学(理)试卷(解析版) 题型:解答题

已知函数

(1)若点在角的终边上,求的值;

(2)若,求的最值.

查看答案和解析>>

科目:高中数学 来源:2016届山西省高三高考考前质量检测考试(三)数学(文)试卷(解析版) 题型:解答题

选修4-5:不等式选讲

已知

(Ⅰ)求的取值范围;

(Ⅱ)若对任意实数成立,求实数的值.

查看答案和解析>>

科目:高中数学 来源:2016届山西省高三高考考前质量检测考试(三)数学(文)试卷(解析版) 题型:解答题

已知数列满足

(Ⅰ)求证:数列是等比数列;

(Ⅱ)求数列的前项和

查看答案和解析>>

科目:高中数学 来源:2016届山西省高三高考考前质量检测考试(三)数学(文)试卷(解析版) 题型:选择题

已知为同一平面内的两个不共线的向量,且,若,向量,则( )

A.(1,10)或(5,10) B.(-1,-2)或(3,-2)

C.(5,10) D.(1,10)

查看答案和解析>>

科目:高中数学 来源:2016届山西省高三高考考前质量检测考试(三)数学(理)试卷(解析版) 题型:解答题

选修4-5:不等式选讲

已知

(Ⅰ)求的取值范围;

(Ⅱ)若对任意实数成立,求实数的值.

查看答案和解析>>

科目:高中数学 来源:2016届山西省高三高考考前质量检测考试(三)数学(理)试卷(解析版) 题型:选择题

实数满足的最小值为,则实数a的值为( )

A. B. C. D.

查看答案和解析>>

科目:高中数学 来源:2016届陕西黄陵中学高三下二模考试数学(文)试卷(解析版) 题型:选择题

在边长为4的等边三角形的内部任取一点,使得的概率为( )

A. B. C. D.

查看答案和解析>>

同步练习册答案