精英家教网 > 高中数学 > 题目详情

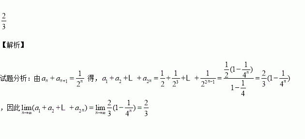
数列中,若),则 .

练习册系列答案
相关习题

科目:高中数学 来源:2016届黑龙江省高三12月月考理科数学试卷(解析版) 题型:选择题

用数学归纳法证明不等式“(n>2)”过程中,由时,不等式的左边( )

A.增加了一项

B.增加了两项

C.增加了两项,又减少了一项

D.增加了一项,又减少了一项

查看答案和解析>>

科目:高中数学 来源:2015-2016学年浙江省温州市高一上学期期中考试数学试卷(解析版) 题型:选择题

,则的大小关系是( )

A. B. C. D.

查看答案和解析>>

科目:高中数学 来源:2015-2016年湖北武汉华中师大一附高二上期中文科数学卷(解析版) 题型:选择题

已知抛物线的焦点为F,准线为l,P是l上一点,Q是直线PF与C的一个交点,若,则( )

A. B. C.3 D.6

查看答案和解析>>

科目:高中数学 来源:2016上海复旦大学附中届高三上期中文科数学试卷(解析版) 题型:填空题

的二项展开式中,含项的系数是___________.

查看答案和解析>>

科目:高中数学 来源:2016届河北省高三上学期四调文科数学试卷(解析版) 题型:选择题

设过曲线为自然对数的底数)上任意一点处的切线为,总存在过曲线上一点处的切线,使得,则实数的取值范围为( )

A. B. C. D.

查看答案和解析>>

科目:高中数学 来源:2016届河北省高三上学期四调理科数学试卷(解析版) 题型:选择题

如图,已知正方体的棱长为,动点分别在线段上.当三棱锥的俯视图如图所示时,三棱锥的正视图面积等于( )

A. B. C. D.

查看答案和解析>>

科目:高中数学 来源:2015-2016学年湖北武汉华中师大一附高一上期中数学试卷(解析版) 题型:选择题

方程的根所在的区间为( )

A. B. C. D.

查看答案和解析>>

科目:高中数学 来源:2016届湖北武汉华中师大一附等高三上第一次联考理数学卷(解析版) 题型:选择题

已知函数的周期为,若将其图象沿轴向右平移个单位,所得图象关于原点对称,则实数的最小值为( )

A. B. C. D.

查看答案和解析>>

同步练习册答案