精英家教网 > 高中数学 > 题目详情
已知函数,则此函数图象的一个对称中心是( )
A.(
B.(
C.(
D.(
【答案】分析:=,令可得,结合选项可得
解答:解:∵=
可得
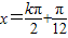
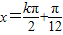
当k=0时可得函数的一个对称中心为:
故选:A.
点评:本题主要考查了二倍角公式的应用,三角函数性质的应用,属于基础试题.
练习册系列答案
相关习题

科目:高中数学 来源: 题型:单选题

已知函数数学公式,则此函数图象的一个对称中心是


  1. A.
    数学公式
  2. B.
    数学公式
  3. C.
    数学公式
  4. D.
    数学公式

查看答案和解析>>

科目:高中数学 来源:2010-2011学年湖北省孝感高中高三(上)10月数学测试卷13(理科)(函数、数列、三角函数)(解析版) 题型:选择题

已知函数,则此函数图象的一个对称中心是( )
A.(
B.(
C.(
D.(

查看答案和解析>>

科目:高中数学 来源:2013年安徽省阜阳一中高考数学二模试卷(文科)(解析版) 题型:选择题

若直角坐标平面内的两个点P和Q满足条件:①P和Q都在函数y=f(x)的图象上;②P和Q关于原点对称,则称点对[P,Q]是函数y=f(x)的一对“友好点对”([P,Q]与[Q,P]看作同一对“友好点对”).已知函数,则此函数的“友好点对”有( )
A.0对
B.1对
C.2对
D.3对

查看答案和解析>>

科目:高中数学 来源:2011-2012学年上海市浦东新区南汇中学高三第一次考试数学试卷(解析版) 题型:解答题

若直角坐标平面内的两点P、Q满足条件:①P、Q都在函数y=f(x)的图象上;②P、Q关于原点对称,则答点对(P,Q)是函数y=f(x)的一个“友好点对”(点对(P,Q)与(Q,P)看作同一个“友好点对”).已知函数,则此函数的“友好点对”有    对.

查看答案和解析>>

同步练习册答案