精英家教网 > 高中数学 > 题目详情
在数列{an}中,a1=0,且对任意k∈N*,a2k-1,a2k,ak+1成等差数列,其公差为dk
(1)若dk=2k,证明a2k,a2k+1,a2k+2成等比数列(k∈N*);
(2)若对任意k∈N*,a2k,a2k+1,a2k+2成等比数列,其公比为qk
(i)设q1≠1,证明是等差数列;
(ii)若a2=2,证明
解:(1)由题设,可得

所以

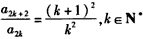
由a1=0,得a2k+1=2k(k+1)
从而
于是
所以
所以dk=2k时,对任意k∈N*,a2k,a2k+1,a2k+2成等比数列;
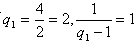
(2)(i)由a2k-1,a2k,a2k+1成等差数列,及a2k,a2k+1,a2k+2成等比数列,得2a2k=a2k-1+a2k+1
2=+qk
当q1≠1时,可知qk≠1,k∈N*
从而

所以是等差数列,公差为1;
(ii)由a1=0,a2=2,可得a3=4,从而
由(i)有
所以
从而
因此

以下分两种情况进行讨论:
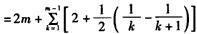
①当n为偶数时,设n=2m(m∈N*)
,则




所以
从而
②当n为奇数时,设n=2m+1(m∈N*)



综合①②可知,对任意n≥2,n∈N*,有
练习册系列答案
相关习题

科目:高中数学 来源: 题型:

在数列{an}中,
a
 
1
=1
an=
1
2
an-1+1
(n≥2),则数列{an}的通项公式为an=
2-21-n
2-21-n

查看答案和解析>>

科目:高中数学 来源: 题型:

在数列{an}中,a 1=
1
3
,并且对任意n∈N*,n≥2都有an•an-1=an-1-an成立,令bn=
1
an
(n∈N*).
(Ⅰ)求数列{bn}的通项公式;
(Ⅱ)设数列{
an
n
}的前n项和为Tn,证明:
1
3
Tn
3
4

查看答案和解析>>

科目:高中数学 来源: 题型:

在数列{an}中,a=
12
,前n项和Sn=n2an,求an+1

查看答案和解析>>

科目:高中数学 来源: 题型:

在数列{an}中,a1=a,前n项和Sn构成公比为q的等比数列,________________.

(先在横线上填上一个结论,然后再解答)

查看答案和解析>>

科目:高中数学 来源:2012-2013学年广东省汕尾市陆丰市碣石中学高三(上)第四次月考数学试卷(理科)(解析版) 题型:解答题

在数列{an}中,a,并且对任意n∈N*,n≥2都有an•an-1=an-1-an成立,令bn=(n∈N*).
(Ⅰ)求数列{bn}的通项公式;
(Ⅱ)设数列{}的前n项和为Tn,证明:

查看答案和解析>>

同步练习册答案