精英家教网 > 高中数学 > 题目详情

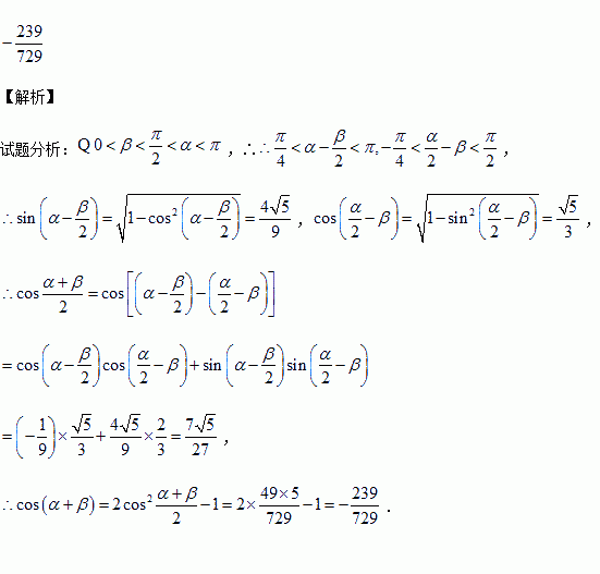
已知0<β<<α<π,且cos(α-)=-,sin(-β)=,则cos(α+β)=_____.

练习册系列答案
相关习题

科目:高中数学 来源:2015-2016年浙江宁波效实中学高二1,2班上期中数学卷(解析版) 题型:填空题

某商场有四类食品,其中粮食类、植物油类、动物性食品类及果蔬类分别有40种、10种、30种、20种,现采用分层抽样抽取样本,若粮食类需要抽取8种,则样本容量为_____;抽取的植物油类与果蔬类食品种数之和为_____.

查看答案和解析>>

科目:高中数学 来源:2016届江苏省高三周练数学试卷(解析版) 题型:填空题

如图,现有一个以为圆心角、湖岸为半径的扇形湖面.现欲在弧上取不同于的点,用渔网沿着弧(弧在扇形的弧上)、半径和线段(其中),在该扇形湖面内隔出两个养殖区域—养殖区域I和养殖区域II.若

(1)用表示的长度;

(2)求所需渔网长度(即图中弧、半径和线段长度之和)的取值范围.

查看答案和解析>>

科目:高中数学 来源:2016届黑龙江省高三上学期期中理科数学试卷(解析版) 题型:填空题

中,分别为的对边,如果成等差数列,,的面积为,那么_________.

查看答案和解析>>

科目:高中数学 来源:2016届甘肃省高三上学期期中文科数学试卷(解析版) 题型:选择题

如图所示,两个不共线向量的夹角为分别为的中点,点在直线上,且,则的最小值为( )

A. B. C. D.

查看答案和解析>>

科目:高中数学 来源:2015-2016学年重庆市高一10月月考数学试卷(解析版) 题型:填空题

已知函数,关于的不等式的解集为,则的解析式为

查看答案和解析>>

科目:高中数学 来源:2015-2016学年山东省高一10月月考数学试卷(解析版) 题型:选择题

,则的值为( )

A.10 B.11 C.12 D.13

查看答案和解析>>

科目:高中数学 来源:2015-2016学年河北省高一上学期一调数学试卷(解析版) 题型:选择题

已知函数上单调,则实数的取值范围为 ( )

A. B. C. D.

查看答案和解析>>

科目:高中数学 来源:2015-2016学年江苏省泰州市姜堰区高二上学期期中考试文科数学试卷(解析版) 题型:填空题

已知椭圆的左右焦点分别为,C上一点P满足,则的内切圆面积为

查看答案和解析>>

同步练习册答案