精英家教网 > 高中数学 > 题目详情
某研究机构准备举行一次数学新课程研讨会,共邀请50名一线教师参加,使用不同版本教材的教师人数如下表所示:
版本人教A版人教B版苏教版北师大版
人数2015510
(1)从这50名教师中随机选出2名,求2人所使用版本相同的概率;
(2)若随机选出2名使用人教版的教师发言,设使用人教A版的教师人数为ξ,求随机变量ξ的变分布列和数学期望.
【答案】分析:(Ⅰ)根据题意,首先由组合公式计算从50名教师随机选出2名的方法数,进而计算可得选出2人使用版本相同的方法数,由古典概型的公式,计算可得答案,
(Ⅱ)根据题意,ξ可取的值为0,1,2;分别计算其概率,可得ξ的分布列,进而结合期望的公式,计算可得答案.
解答:解:(1)从50名教师随机选出2名的方法数为C502=1225,
选出2人使用版本相同的方法数为C202+C152+C52+C102=350.
故2人使用版本相同的概率为:

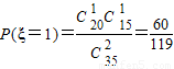
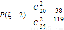
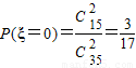
(2)根据题意,ξ可取的值为0,1,2;

∴ξ的分布列为:

点评:本题考查古典概型公式与分布列、期望的计算,解题时要注意概率的计算,这是此类题目的基本考点.
练习册系列答案
相关习题

科目:高中数学 来源: 题型:

某研究机构准备举行一次数学新课程研讨会,共邀请50名一线教师参加,使用不同版本教材的教师人数如下表所示:
版本 人教A版 人教B版 苏教版 北师大版
人数 20 15 5 10
(1)从这50名教师中随机选出2名,求2人所使用版本相同的概率;
(2)若随机选出2名使用人教版的教师发言,设使用人教A版的教师人数为ξ,求随机变量ξ的变分布列和数学期望.

查看答案和解析>>

科目:高中数学 来源: 题型:

某研究机构准备举行一次数学新课程研讨会,共邀请50名一线教师参加,使用不同版本教材的教师人数如下表所示:

版本

人教A版

人教B版

苏教版

北师大版

人数

20

15

5

10

   (Ⅰ)从这50名教师中随机选出2名,求2人所使用版本相同的概率;

   (Ⅱ)若随机选出2名使用人教版的教师发言,设使用人教A版的教师人数为,求随机变量的分布列和数学期望。

查看答案和解析>>

科目:高中数学 来源:新课标高三数学条件概率与事件的独立性、离散型随机变量的分布列专项训练(河北) 题型:解答题

某研究机构准备举行一次数学新课程研讨会,共邀请50名一线教师参加,使用不同版本教材的教师人数如下表所示:

版本

人教A版

人教B版

苏教版

北师大版

人数

20

15

5

10

(1)从这50名教师中随机选出2名,求2人所使用版本相同的概率;

(2)若随机选出2名使用人教版的教师发言,设使用人教A版的教师人数为ξ,求随机变量ξ的分布列.

 

查看答案和解析>>

科目:高中数学 来源:浙江省五校2009-2010学年度高三第一次联考(数学理)试题 题型:解答题

某研究机构准备举行一次数学新课程研讨会,共邀请50名一线教师参加,使用不同版本教材的教师人数如下表所示:

版本

人教A版

人教B版

苏教版

北师大版

人数

20

15

5

10

   (Ⅰ)从这50名教师中随机选出2名,求2人所使用版本相同的概率;

   (Ⅱ)若随机选出2名使用人教版的教师发言,设使用人教A版的教师人数为,求随机变量的分布列和数学期望。

 

查看答案和解析>>

科目:高中数学 来源:2012-2013学年广东省汕尾市陆丰市启恩中学高三数学综合训练5(理科)(解析版) 题型:解答题

某研究机构准备举行一次数学新课程研讨会,共邀请50名一线教师参加,使用不同版本教材的教师人数如下表所示:
版本人教A版人教B版苏教版北师大版
人数2015510
(1)从这50名教师中随机选出2名,求2人所使用版本相同的概率;
(2)若随机选出2名使用人教版的教师发言,设使用人教A版的教师人数为ξ,求随机变量ξ的变分布列和数学期望.

查看答案和解析>>

同步练习册答案