精英家教网 > 高中数学 > 题目详情

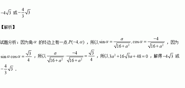
若角的终边上有一点,且,则的值为 .

练习册系列答案
相关习题

科目:高中数学 来源:2015-2016学年河北省高二6月月考理科数学试卷(解析版) 题型:解答题

已知函数.

(1)当时, 求的解集;

(2)若的解集包含集合,求实数的取值范围.

查看答案和解析>>

科目:高中数学 来源:2015-2016学年安徽六安一中高一下周末统测十二数学试卷(解析版) 题型:选择题

已知角的顶点与原点重合,始边与轴正半轴重合,终边在直线上,则的值为( )

A. B. C. D.

查看答案和解析>>

科目:高中数学 来源:2015-2016学年安徽六安一中高一下周末统测十一数学试卷(解析版) 题型:选择题

函数的奇偶性是( )

A.奇函数 B.偶函数

C.既是奇函数又是偶函数 D.既不是奇函数又不是偶函数

查看答案和解析>>

科目:高中数学 来源:2015-2016学年福建省高一3月月考数学试卷(解析版) 题型:解答题

设函数.

(1)求的周期;

(2)求的单调递增区间;

(3)当时,求的最大值和最小值.

查看答案和解析>>

科目:高中数学 来源:2015-2016学年福建省高一3月月考数学试卷(解析版) 题型:选择题

同时具有性质“(1)最小正周期是;(2)图象关于直线对称;(3)在上是减函数”的一个函数可以是( )

A. B.

C. D.

查看答案和解析>>

科目:高中数学 来源:2015-2016学年福建省高一3月月考数学试卷(解析版) 题型:选择题

下面四个命题正确的是( )

A.第一象限角必是锐角

B.锐角必是第一象限角

C.若,则是第二或第三象限角

D.小于的角是锐角

查看答案和解析>>

科目:高中数学 来源:2015-2016学年北大附中河南分校高二普通上期末文数学卷(解析版) 题型:选择题

有下列四个命题:

(1)“若,则”的否命题;

(2)“若,则”的逆否命题;

(3)“若,则”的否命题;

(4)“对顶角相等”的逆命题.

其中真命题的个数是( )

A. B. C. D.

查看答案和解析>>

科目:高中数学 来源:2015-2016学年河南新乡一中高二重点下七次周练文数学卷(解析版) 题型:选择题

已知函数的零点依次为,则从大到小的顺序为( )

A. B. C. D.

查看答案和解析>>

同步练习册答案