精英家教网 > 高中数学 > 题目详情

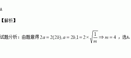
椭圆的焦点在轴上,长轴长是短轴长的2倍,则的值为( )

A.4 B.2 C. D.

练习册系列答案
相关习题

科目:高中数学 来源:2016届河南省郑州市高三上学期联考理科数学试卷(解析版) 题型:选择题

若实数满足不等式组的最大值为9,则实数( )

A.1 B.-1 C.2 D.-2

查看答案和解析>>

科目:高中数学 来源:2015-2016年湖北武汉华中师大一附高二上期中文科数学卷(解析版) 题型:选择题

已知抛物线的焦点为F,准线为l,P是l上一点,Q是直线PF与C的一个交点,若,则( )

A. B. C.3 D.6

查看答案和解析>>

科目:高中数学 来源:2016届河北省高三上学期四调文科数学试卷(解析版) 题型:选择题

设过曲线为自然对数的底数)上任意一点处的切线为,总存在过曲线上一点处的切线,使得,则实数的取值范围为( )

A. B. C. D.

查看答案和解析>>

科目:高中数学 来源:2016届河北省高三上学期四调理科数学试卷(解析版) 题型:选择题

如图,已知正方体的棱长为,动点分别在线段上.当三棱锥的俯视图如图所示时,三棱锥的正视图面积等于( )

A. B. C. D.

查看答案和解析>>

科目:高中数学 来源:2015-2016学年吉林省高二11月月考理科数学卷(解析版) 题型:选择题

已知双曲线,过右焦点且倾斜角为的直线与双曲线右支有两个交点,则双曲

线的离心率的取值范围是 ( )

A. B.  C. D.

查看答案和解析>>

科目:高中数学 来源:2015-2016学年湖北武汉华中师大一附高一上期中数学试卷(解析版) 题型:选择题

方程的根所在的区间为( )

A. B. C. D.

查看答案和解析>>

科目:高中数学 来源:2016届江苏省高三上学期周练数学试卷(解析版) 题型:填空题

已知实数,若以为三边长能构成一个三角形,则实数的范围为

查看答案和解析>>

科目:高中数学 来源:2015-2016学年山西省太原市高二12月月考数学试卷(解析版) 题型:选择题

若直线与两坐标轴交点为,则过及原点三点的圆的方程是( )

A.

B.

C.

D.

查看答案和解析>>

同步练习册答案