精英家教网 > 高中数学 > 题目详情

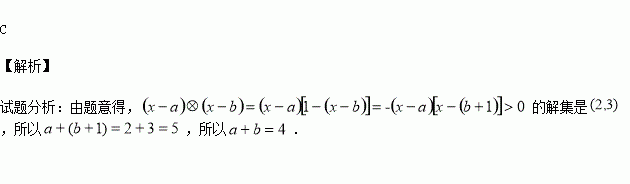
上定义运算,若不等式的解集是,则的值为( )

A.1 B.2 C.4 D.8

练习册系列答案
相关习题

科目:高中数学 来源:2016届浙江省嘉兴市高三上学期能力测试文科数学试卷(解析版) 题型:解答题

已知等差数列的首项,前项和为

(I) 求

(Ⅱ) 设,求的最大值.

查看答案和解析>>

科目:高中数学 来源:2015-2016学年青海省高二期中考试数学试卷(解析版) 题型:选择题

过点且与直线平行的直线方程是( )

A. B.

C. D.

查看答案和解析>>

科目:高中数学 来源:2015-2016学年浙江省温州市高一上学期期中考试数学试卷(解析版) 题型:填空题

函数的单调递增区间为 ,值域为

查看答案和解析>>

科目:高中数学 来源:2015-2016学年江苏省无锡市四校高一上学期期中考试数学试卷(解析版) 题型:填空题

已知函数的零点,且,则

查看答案和解析>>

科目:高中数学 来源:2015-2016学年广东省汕头市高一上学期期中考试数学试卷(解析版) 题型:选择题

若偶函数上是增函数,则下列关系式中成立的是( )

A、

B、

C、

D、

查看答案和解析>>

科目:高中数学 来源:2015-2016年湖北武汉华中师大一附高二上期中文科数学卷(解析版) 题型:填空题

在直角坐标系中,直线l的参数方程为为参数) .以原点O为极点,以x轴的非负半轴为极轴建立极坐标系,曲线C的极坐标方程为,则直线l和曲线C的公共点有____________个.

查看答案和解析>>

科目:高中数学 来源:2016届河北省高三上学期四调文科数学试卷(解析版) 题型:填空题

已知函数,则

查看答案和解析>>

科目:高中数学 来源:2016届宁夏六盘山高中高三上学期第二次月考理科数学试卷(解析版) 题型:解答题

设函数

(1)求的最大值,并写出使取最大值时的集合;

(2)已知中,角的对边分别为,若,求的最小值.

查看答案和解析>>

同步练习册答案