精英家教网 > 高中数学 > 题目详情

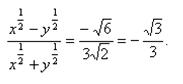
已知,求的值.

练习册系列答案
相关习题

科目:高中数学 来源: 题型:

已知.求的值.

查看答案和解析>>

科目:高中数学 来源:2015届江苏省高一下期末考数学卷(解析版) 题型:解答题

(1)化简

(2)已知,求的值.

 

查看答案和解析>>

科目:高中数学 来源:2015届山东省高一上学期期中调研数学试卷(解析版) 题型:解答题

(本小题满分12分)

(1)化简

(2)已知,求的值.

 

查看答案和解析>>

科目:高中数学 来源:2010年福建省高一下学期期中考试数学卷 题型:解答题

已知,求的值  

 

查看答案和解析>>

科目:高中数学 来源:2010年河南省郑州47中高考数学模拟试卷(解析版) 题型:解答题

在△ABC中,已知,求的值.

查看答案和解析>>

同步练习册答案