精英家教网 > 高中数学 > 题目详情
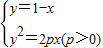
直线y=1-x交抛物线y2=2px(p>0)于M,N两点,向量与弦MN交于点E,若E点的横坐标为,则p的值为( )
A.2
B.1
C.
D.
【答案】分析:⇒x2-(2+2p)x+1=0,设M(x1,y1),N(x2,y2),x1,x2是方程x2-(2+2p)x+1=0的两根,由=(x1+x2,y1+y2),E点的横坐标为可求得,利用韦达定理即可求得p的值.
解答:解:∵直线y=1-x交抛物线y2=2px(p>0)于M,N两点,设M(x1,y1),N(x2,y2),
得x2-(2+2p)x+1=0,则x1,x2是方程x2-(2+2p)x+1=0的两根,
由韦达定理得:x1+x2=2+2p①;
又∵向量与弦MN交于点E,
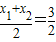
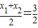
,而=(x1+x2,y1+y2),E点的横坐标为
,即x1+x2=3②
由①②得:2+2p=3,解得p=
故选D.
点评:本题考查直线与圆锥曲线的关系,解决的关键在于联立方程,利用韦达定理,与条件“向量与弦MN交于点E,若E点的横坐标为”结合来解决问题,属于难题.
练习册系列答案
相关习题

科目:高中数学 来源:2010-2011年江西省高二下学期第一次月考数学文卷 题型:解答题

(本小题满分13分)

已知双曲线C: =1(a>0,b>0)的离心率为焦点到渐近线的距离为

(1)求双曲线C的方程;

(2)已知直线x-y+m=0与双曲线C交于不同的两点A,B,且线段AB的中点在抛物

线y2=4 x上,求m的值.

 

查看答案和解析>>

同步练习册答案