精英家教网 > 高中数学 > 题目详情
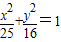
已知椭圆上的一点P到椭圆一个焦点的距离为3,则P到另一焦点距离为( )
A.9
B.7
C.5
D.3
【答案】分析:由椭圆方程找出a的值,根据椭圆的定义可知椭圆上的点到两焦点的距离之和为常数2a,把a的值代入即可求出常数的值得到P到两焦点的距离之和,由P到一个焦点的距离为3,求出P到另一焦点的距离即可.
解答:解:由椭圆,得a=5,
则2a=10,且点P到椭圆一焦点的距离为3,
由定义得点P到另一焦点的距离为2a-3=10-3=7.
故选B
点评:此题考查学生掌握椭圆的定义及简单的性质,是一道中档题.
练习册系列答案
相关习题

科目:高中数学 来源:2012-2013学年福建省厦门二中高二(上)数学周末练习11(文科)(解析版) 题型:选择题

已知椭圆上的一点P到椭圆一个焦点的距离为3,则P到另一焦点距离为( )
A.9
B.7
C.5
D.3

查看答案和解析>>

科目:高中数学 来源:2012-2013学年内蒙古包头33中高二(上)期末数学试卷(文科)(解析版) 题型:选择题

已知椭圆上的一点P到椭圆一个焦点的距离为3,则P到另一焦点距离为( )
A.9
B.7
C.5
D.3

查看答案和解析>>

科目:高中数学 来源:2012-2013学年安徽省淮北市濉溪中学高二(上)第三次月考数学试卷(文理)(解析版) 题型:选择题

已知椭圆上的一点P到椭圆一个焦点的距离为3,则P到另一焦点距离为( )
A.9
B.7
C.5
D.3

查看答案和解析>>

科目:高中数学 来源:2012-2013学年湖南省长沙市浏阳一中高二(上)期中数学试卷(理科)(解析版) 题型:选择题

已知椭圆上的一点P到椭圆一个焦点的距离为3,则P到另一焦点距离为( )
A.9
B.7
C.5
D.3

查看答案和解析>>

科目:高中数学 来源:2012-2013学年福建省三明一中高二(上)第二次月考数学试卷(理科)(解析版) 题型:选择题

已知椭圆上的一点P到椭圆一个焦点的距离为3,则P到另一焦点距离为( )
A.9
B.7
C.5
D.3

查看答案和解析>>

同步练习册答案