精英家教网 > 高中数学 > 题目详情

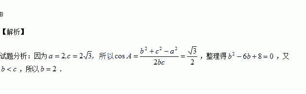
中.若,且,则( )

A. B. C. D.

练习册系列答案
相关习题

科目:高中数学 来源:2015-2016学年湖南师大附中高二上第二次段测理科数学卷(解析版) 题型:填空题

已知f(x)是定义在[-2,2]上的奇函数,当时,,函数,如果对于任意,存在,使得,则实数m的取值范围是______.

查看答案和解析>>

科目:高中数学 来源:2015-2016学年湖北省等高二上学期期中联考文科数学试卷(解析版) 题型:选择题

在空间直角坐标系中,点关于平面的对称点的坐标是( )

A. B. C. D.

查看答案和解析>>

科目:高中数学 来源:2015-2016学年湖北省襄阳市等高一上学期期中联考数学试卷(解析版) 题型:选择题

下列关于函数的说法正确的是( )

A.当处有最小值

B.当处有最小值

C.当处有最小值

D.当处有最小值

查看答案和解析>>

科目:高中数学 来源:2015-2016学年湖南省高二上学期期中考试文科数学试卷(解析版) 题型:填空题

中,,则_______.

查看答案和解析>>

科目:高中数学 来源:2015-2016学年山东省枣庄市高二10月学情调查数学试卷(解析版) 题型:选择题

是函数 的两个不同的零点,且

三个数可适当排序后成等差数列,也可适当排序后成等比数列,则 的值等于( )

A.6 B.7 C.8 D.9

查看答案和解析>>

科目:高中数学 来源:2016届重庆市高三12月月考理科数学试卷(解析版) 题型:解答题

在直角坐标系中,直线的参数方程为(t为参数),再以原点为极点,以x正半轴为极轴建立坐标系,并使得它与直角坐标系有相同的长度单位,在该极坐标系中圆C的方程为

(1)求圆C的直角坐标方程;

(2)设圆C与直线将于点,若点的坐标为,求的值.

查看答案和解析>>

科目:高中数学 来源:2016届辽宁省大连市高三12月月考文科数学试卷(解析版) 题型:填空题

如图,F1、F2是双曲线的左、右焦点,过F1的直线与双曲线的左右两支分别交于点A、B.若为等边三角形,则双曲线的离心率为

查看答案和解析>>

科目:高中数学 来源:2016届甘肃省高三上第四次月考理科数学试卷(解析版) 题型:选择题

已知由不等式确定的平面区域的面积为7,则的值( )

A. B. C. D.

查看答案和解析>>

同步练习册答案