精英家教网 > 高中数学 > 题目详情
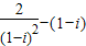
复数z=1-i(i是虚数单位),则等于( )
A.-1+2i
B.1-2i
C.-1
D.1+2i
【答案】分析:利用两个复数相除,分子和分母同时乘以分母的共轭复数,以及虚数单位i的幂运算性质化简
解答:解:∵==-1+i=i-1+i=-1+2i,
故选 A.
点评:本题考查两个复数代数形式的乘除法,虚数单位i的幂运算性质,
两个复数相除,分子和分母同时乘以分母的共轭复数.
练习册系列答案
相关习题

科目:高中数学 来源: 题型:

已知复数z=1-i(i是虚数单位),则
2
z-1
等于(  )
A、2iB、-2iC、-2D、2

查看答案和解析>>

科目:高中数学 来源: 题型:

若复数z=1+i(i是虚数单位),则(  )

查看答案和解析>>

科目:高中数学 来源: 题型:

复数z=1+i(i是虚数单位),则复数(z+1)(z-1)虚部是(  )

查看答案和解析>>

科目:高中数学 来源: 题型:

复数z=1-i(i是虚数单位),则
2z2
-z
=
-1+2i
-1+2i

查看答案和解析>>

科目:高中数学 来源: 题型:

已知复数z=1-i(i是虚数单位)
(1)计算z2;  (2)若z2+a
.
z
+b=3-3i
,求实数a,b的值.

查看答案和解析>>

同步练习册答案