精英家教网 > 高中数学 > 题目详情
复数z满足|z-3|=|z+3|,且|z|=5,则z等于( )
A.±5
B.±5i
C.±3+5i
D.±3±4i
【答案】分析:先设出复数z的代数形式,代入所给的式子利用复数模的公式进行化简,列出方程进行求值.
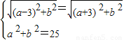
解答:解:设z=a+bi(a,b∈R),由|z-3|=|z+3|,且|z|=5,得,
,解得a=0,b=±5,
则z等于±5i
故选B.
点评:本题考查复数求模,以及设出复数的代数形式,利用条件列出方程,求得实部和虚部进行求值.
练习册系列答案
相关习题

科目:高中数学 来源: 题型:

若复数z满足|z+4+3i|=3,则复数z的模应满足的不等式是(  )
A、5≤|z|≤8B、2≤|z|≤8C、|z|≤5D、|z|<8

查看答案和解析>>

科目:高中数学 来源: 题型:

复数z满足|z-3|=|z+3|,且|z|=5,则z等于(  )
A、±5B、±5iC、±3+5iD、±3±4i

查看答案和解析>>

科目:高中数学 来源: 题型:

设复数z满足z=3+4i(其中i为虚数单位),则z的模为
5
5

查看答案和解析>>

科目:高中数学 来源: 题型:

(2009•青浦区二模)若复数z满足z=
3+i
i
,则|
.
 z 
|
=
10
10

查看答案和解析>>

科目:高中数学 来源: 题型:

已知复数z满足z=
(3+i)2
1+i
(i为虚数单位),则复数
.
z
所对应的点所在象限为(  )
A、第一象限B、第二象限
C、第三象限D、第四象限

查看答案和解析>>

同步练习册答案