精英家教网 > 高中数学 > 题目详情
在锐角△ABC中,a,b,c分别为内角A,B,C所对的边,且满足
(1)求角B的大小;
(2)若a+c=5,且a>c,,求的值.
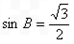
解:(Ⅰ)因为,所以
因为,所以
  又B为锐角, 则
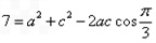
(2)由(1)可知,
因为,根据余弦定理,得
整理,得(a+c)2-3ac=7
a+c=5,则ac=6.
又a>c,可得 a=3,c=2.
于是,      
所以.    
练习册系列答案
相关习题

科目:高中数学 来源: 题型:

已知向量
m
=(sinx,-1)
n
=(cosx,3)

(1)设函数f(x)=(
m
+
n
)•
m
,求函数f(x)的单调递增区间;
(2)已知在锐角△ABC中,a,b,c分别为角A,B,C的对边,
3
c=2asin(A+B)
,对于(1)中的函数f(x),求f(B+
π
8
)
的取值范围.

查看答案和解析>>

科目:高中数学 来源: 题型:

在锐角△ABC中,A、B、C三内角所对的边分别为a、b、c,cos2A+
1
2
=sin2A,a=
7

(1)若b=3,求c;
(2)求△ABC的面积的最大值.

查看答案和解析>>

科目:高中数学 来源: 题型:

(2008•奉贤区二模)在锐角△ABC中,a、b、c分别是三内角A、B、C所对的边,若a=3,b=4,且△ABC的面积为3
3
,则角C=
π
3
π
3

查看答案和解析>>

科目:高中数学 来源: 题型:

(2007•武汉模拟)在锐角△ABC中,A>B,则有下列不等式:①sinA>sinB;②cosA<cosB;③sin2A>sin2B;④cos2A<cos2B(  )

查看答案和解析>>

科目:高中数学 来源: 题型:

(2005•武汉模拟)在锐角△ABC中,a、b、c分别为角A、B、C所对的边,又c=
21
,b=4,且BC边上高h=2
3

①求角C;
②a边之长.

查看答案和解析>>

同步练习册答案