精英家教网 > 高中数学 > 题目详情

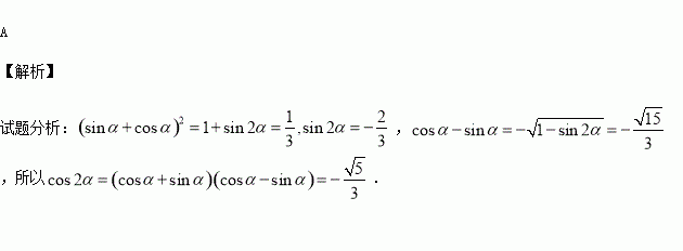
已知为第二象限角,,则等于( )

A. B. C. D.

练习册系列答案
相关习题

科目:高中数学 来源:2015-2016学年广西河池市高一下月考一数学试卷(解析版) 题型:选择题

某学校有体育特长生人,美术特长生人,音乐特长生人,用分层抽样的方法从中抽取人,则抽取的体育特长生、美术特长生、音乐特长生的人数分别为( )

A. B. C. D.

查看答案和解析>>

科目:高中数学 来源:2017届河南省天一大联考高三上学期段测一数学(理)试卷(解析版) 题型:填空题

中,边的垂直平分线交边,若,则的面积为______.

查看答案和解析>>

科目:高中数学 来源:2017届河北武邑中学高三上学期周考8.21数学(文)试卷(解析版) 题型:解答题

已知,试确定使等式成立的取值集合.

查看答案和解析>>

科目:高中数学 来源:2017届河北武邑中学高三上学期周考8.21数学(文)试卷(解析版) 题型:选择题

,则等于( )

A. B. C. D.

查看答案和解析>>

科目:高中数学 来源:2017届河北武邑中学高三上学期周考8.21数学(理)试卷(解析版) 题型:解答题

已知函数.

(1)求函数的最小正周期;

(2)求函数取得最大值的所有组成的集合.

查看答案和解析>>

科目:高中数学 来源:2017届河北武邑中学高三上学期周考8.21数学(理)试卷(解析版) 题型:选择题

已知,则的值为( )

A. B. C. D.1

查看答案和解析>>

科目:高中数学 来源:2017届河北定州中学高三上学期周练一数学试卷(解析版) 题型:填空题

已知,则_____.

查看答案和解析>>

科目:高中数学 来源:2017届天津耀华中学高三上学期开学考试数学(文)试卷(解析版) 题型:解答题

已知数列的前项和和通项满足

(1)求数列的通项公式;

(2)求证:

(3)设函数,求

查看答案和解析>>

同步练习册答案