精英家教网 > 高中数学 > 题目详情

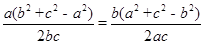
在△ABC中,若,则△ABC的形状是(        )

A.等腰三角形           B.直角三角形

C.等腰直角三角形       D.等腰或直角三角形

 

【答案】

D

【解析】在处理含有边和角的等式时,一般是使用正、余弦定理把边转化为角或把角转化为边,如果都化为角的形式,则问题会转化为三角形内的三角恒等变换;若果都化为边的形式,则问题会转化为代数变形:通分、分解因式等.

试题分析:方法一:边化角:

由正弦定理得:,代入得:

,再由倍角公式得: 即,所以△ABC为等腰或直角三角形.

方法二:角化边:

由余弦定理,原式可化为:,整理得

所以△ABC为等腰或直角三角形.

考点:1.正弦定理和余弦定理;2.三角恒等变换;3.解简单的三角方程.

 

练习册系列答案
相关习题

科目:高中数学 来源:2011-2012学年云南景洪第一中学高三上期末考试理科数学试卷(解析版) 题型:选择题

在△ABC中,若,则B的值为(   )

A.30°             B.45°             C.60°             D.90°

 

查看答案和解析>>

科目:高中数学 来源:2014届吉林省高一下学期3月月考数学试卷(解析版) 题型:选择题

在△ABC中,若,则∠A=(     )

A.     B.     C.     D. 

 

查看答案和解析>>

科目:高中数学 来源:2014届内蒙古高一下学期期中考试理科数学试卷(解析版) 题型:选择题

在△ABC中,若,则∠A=

A.      B.      C.        D. 

 

查看答案和解析>>

科目:高中数学 来源:广东省09-10学年高一下学期期末考试数学试题 题型:选择题

如图,在△ABC中,,,若,,则   () 

A.        B.

C.        D.

 

查看答案和解析>>

科目:高中数学 来源:2010年湖南省高二下学期学业水平第二次模拟考试数学试题 题型:选择题

在△ABC中,若,则其面积等于(   )

A.             B.               C.1                  D.2

 

查看答案和解析>>

同步练习册答案