精英家教网 > 高中数学 > 题目详情

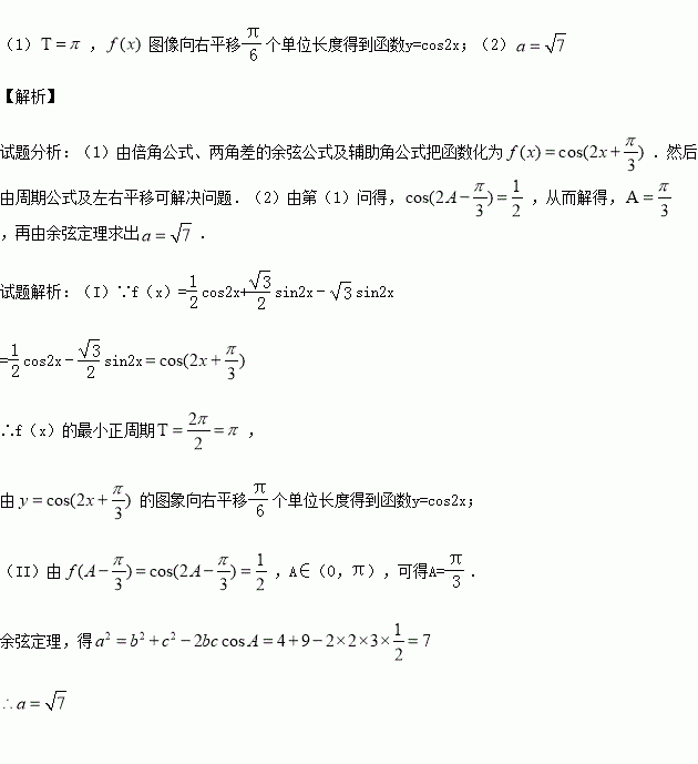
(本小题满分分)设函数

(Ⅰ)求f(x)的最小正周期,并指出由f(x)的图象如何变换得到函数y=cos2x的图象;

(Ⅱ)△ABC中角A,B,C的所对边为a,b,c,若f(A﹣)=,b=2,c=3,求a的值.

练习册系列答案
相关习题

科目:高中数学 来源:2015-2016学年浙江省平湖市高一10月月考数学试卷(解析版) 题型:解答题

(本题8分)设二次,不等式的解集是

(1)求

(2)当函数的定义域是时,求函数的最大值

查看答案和解析>>

科目:高中数学 来源:2015-2016学年福建厦门双十中学高二上期中文科数学试卷(解析版) 题型:选择题

,且,则下列不等式一定成立的是 ( ).

A. B.

C. D.

查看答案和解析>>

科目:高中数学 来源:2016届辽宁省大连市高三10月月考文科数学试卷(解析版) 题型:选择题

“对任意”是“”的( )

(A)充分而不必要条件 (B)必要而不充分条件

(C)充分必要条件 (D)既不充分也不必要条件

查看答案和解析>>

科目:高中数学 来源:2014-2015学年河北省高二上第二次段考理科数学试卷(解析版) 题型:解答题

若圆经过点,求这个圆的方程.

查看答案和解析>>

科目:高中数学 来源:2016届重庆市高三上学期期中文科数学试卷(解析版) 题型:填空题

,当取得极大值,当取得极小值,则的取值范围是

查看答案和解析>>

科目:高中数学 来源:2015-2016学年浙江省高二上期中数学试卷(解析版) 题型:填空题

双曲线的焦距是 ,渐近线方程是

查看答案和解析>>

科目:高中数学 来源:2015-2016学年河北省高二上学期期中数学试卷(解析版) 题型:选择题

执行如图的程序框图,则输出的结果是

A. B. C. D.

查看答案和解析>>

科目:高中数学 来源:2016届吉林省高三上学期二模理科数学试卷(解析版) 题型:填空题

设m为实数,若{(x,y)| ⊆{(x,y)|(x-2)2+(y-2)2≤8},则m的取值范围为________.

查看答案和解析>>

同步练习册答案