函数

的反函数为f
-1(x),数列{a
n}和{b
n}满足:

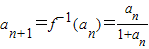
,a
n+1=f
-1(a
n),函数y=f
-1(x)的图象在点(n,f
-1(n))(n∈N
*)处的切线在y轴上的截距为b
n.
(1)求数列{a
n}的通项公式;
(2)若数列

;的项中仅

最小,求λ的取值范围;
(3)令函数

,0<x<1.数列{x
n}满足:

,0<x
n<1且x
n+1=g(x
n),(其中n∈N
*).证明:


.
【答案】
分析:(1)先求出函数f(x)的反函数

.

,由此能求出数列{a
n}的通项公式;
(2)由

,知

,所以y=f
-1(x)在点(n,f
-1(n))处的切线方程为

,由此入手能求出λ的取值范围.
(3)

.所以

,又因0<x
n<1,则x
n+1>x
n.由此入手能够证明


.
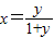
解答:解:(1)令

,解得

;由0<x<1,解得y>0.
∴函数f(x)的反函数

.
则

,

.
∴

是以2为首项,1为公差的等差数列,故

.(4分)
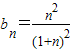
(2)∵

,∴

,
∴y=f
-1(x)在点(n,f
-1(n))处的切线方程为

,
令x=0得

.∴

.
∵仅当n=5时取得最小值,∴

.
∴λ的取值范围为(9,11)(8分)
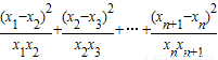
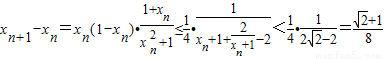
(3)

.
所以

,
又因0<x
n<1,则x
n+1>x
n(10分)
显然

.

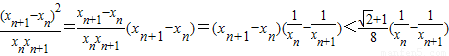
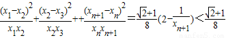
∴

∴

=

(12分)
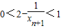
∵

,∴

,∴

∴

(14分)
点评:本题考查数列的性质和应用,解题时要认真审题,仔细解答,注意公式的合理运用.
练习册系列答案
相关习题
科目:高中数学
来源:2009-2010学年四川省攀枝花市高三(上)第二次月考数学试卷(理科)(解析版)
题型:解答题
已知函数

的反函数为f
-1(x),数列{a
n}满足:a
1=1,a
n+1=f
-1(a
n)(n∈N
*).
(Ⅰ)求数列{a
n}的通项公式;
(Ⅱ)若数列{b
n}满足:

成等比数列,数列{b
n}的前n项和为S
n,求S
n.
查看答案和解析>>
科目:高中数学
来源:2011年上海市嘉定区高考数学一模试卷(文科)(解析版)
题型:解答题
设函数

的反函数为f
-1(x),则方程f
-1(x)=4的解是
.
查看答案和解析>>
科目:高中数学
来源:2011年上海市嘉定区高考数学一模试卷(理科)(解析版)
题型:解答题
设函数

的反函数为f
-1(x),则方程f
-1(x)=4的解是
.
查看答案和解析>>
科目:高中数学
来源:2009年北京市东城区高考数学二模试卷(理科)(解析版)
题型:解答题
设函数

的反函数为f
-1(x),则f
-1(1)的值为
.
查看答案和解析>>
科目:高中数学
来源:高考数学最后冲刺必读题解析30讲(22)(解析版)
题型:解答题
函数

的反函数为f
-1(x),数列{a
n}和{b
n}满足:

,a
n+1=f
-1(a
n),函数y=f
-1(x)的图象在点(n,f
-1(n))(n∈N
*)处的切线在y轴上的截距为b
n.
(1)求数列{a
n}的通项公式;
(2)若数列

;的项中仅

最小,求λ的取值范围;
(3)令函数

,0<x<1.数列{x
n}满足:

,0<x
n<1且x
n+1=g(x
n),(其中n∈N
*).证明:


.
查看答案和解析>>