精英家教网 > 高中数学 > 题目详情

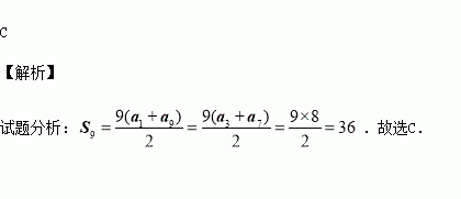
已知等差数列中,,则该数列前9项和等于( )

A.4 B.8 C.36 D.72

练习册系列答案
相关习题

科目:高中数学 来源:2015-2016学年河北武邑中学高一下4.17周考数学试卷(解析版) 题型:选择题

设集合,若,则集合( )

A. B. C. D.

查看答案和解析>>

科目:高中数学 来源:2015-2016学年重庆十八中高一下期中理科数学试卷(解析版) 题型:选择题

已知数列中,项和为,且点在一次函数上的图象上,则=( )

A. B. C. D.

查看答案和解析>>

科目:高中数学 来源:2015-2016学年广东实验中学高一下期中数学试卷(解析版) 题型:填空题

在锐角中,,则的值等于____________.

查看答案和解析>>

科目:高中数学 来源:2015-2016学年广东实验中学高一下期中数学试卷(解析版) 题型:选择题

中,若,则一定是( )

A.直角三角形 B.等边三角形

C.等腰三角形 D.等腰或直角三角形

查看答案和解析>>

科目:高中数学 来源:2015-2016学年江苏省高一下期中数学试卷(解析版) 题型:解答题

如图所示,在四边形中,,且

(1)求的面积;

(2)若,求的长.

查看答案和解析>>

科目:高中数学 来源:2015-2016学年江苏省高一下期中数学试卷(解析版) 题型:填空题

中,内角的对边分别是,且,则________.

查看答案和解析>>

科目:高中数学 来源:2015-2016学年河北武邑中学高一下4.24周考数学试卷(解析版) 题型:选择题

在三棱锥中,已知底面分别是线段上的动点,则下列说法错误的是( )

A.当时,一定是直角三角形

B.当时,一定是直角三角形

C.当平面时,一定是直角三角形

D.当平面时,一定是直角三角形

查看答案和解析>>

科目:高中数学 来源:2016届海南中学高三考前高考模拟十一理科数学试卷(解析版) 题型:解答题

已知函数.

(1)求函数的最小正周期;

(2)求函数上的值域.

查看答案和解析>>

同步练习册答案