精英家教网 > 高中数学 > 题目详情

如图示:已知抛物线的焦点为,过点作直线交抛物线两点,经过两点分别作抛物线的切线,切线相交于点.

(1)当点在第二象限,且到准线距离为时,求

(2)证明:.

 

【答案】

(1);(2)详见解析.

【解析】

试题分析:(1)先利用抛物线的定义求出点的坐标,然后利用直线过点和点求出直线的方程,然后将直线和抛物线的方程联立,利用韦达定理与抛物线的定义求出弦的长;(2)先求出曲线在点和点的切线方程,并求出两切线的交点的坐标,验证进而得到.

试题解析:(1)抛物线的方程为,则其焦点坐标为

设点,则有

由于点在第二象限,则,将代入得,,解得

故点的坐标为,故直线的方程为,变形得

代入抛物线的方程并化简得,由韦达定理得

(2)设直线的方程为,将代入抛物线的方程并化简得

对任意恒成立,

由韦达定理得

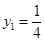
将抛物线的方程化为函数解析式得,,则

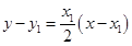
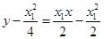
故曲线在点处的切线方程为,即,即①,

同理可知,曲线在点处的切线方程为②,

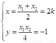
联立①②得,,故点的坐标为

.

考点:1.抛物线的定义;2.焦点弦长的计算;3.切线方程;4.平面向量的数量积

 

练习册系列答案
相关习题

科目:高中数学 来源: 题型:

已知抛物线y2=2px(p>0),椭圆
x2
a2
+
y2
b2
=1(a>b>0)
,双曲线
x2
a2
-
y2
b2
=1(a>0,b>0)
,如图示,K为与焦点F对应的准线与x轴的交点,AB为过焦点的垂直于x轴的弦.
(1)在抛物线中,已知∠AKB为直角,则在椭圆和双曲线中∠AKB还为直角吗?试证明你的合情推理所得到的结论;
(2)在抛物线中,已知直线KA与抛物线只有一个公共点A,则在椭圆和双曲线中也有类似的性质吗?试选择椭圆证明你的类比推理.

查看答案和解析>>

科目:高中数学 来源:2008-2009学年江苏省扬州市高二(上)期末数学试卷(解析版) 题型:解答题

已知抛物线y2=2px(p>0),椭圆,双曲线,如图示,K为与焦点F对应的准线与x轴的交点,AB为过焦点的垂直于x轴的弦.
(1)在抛物线中,已知∠AKB为直角,则在椭圆和双曲线中∠AKB还为直角吗?试证明你的合情推理所得到的结论;
(2)在抛物线中,已知直线KA与抛物线只有一个公共点A,则在椭圆和双曲线中也有类似的性质吗?试选择椭圆证明你的类比推理.

查看答案和解析>>

同步练习册答案