精英家教网 > 高中数学 > 题目详情

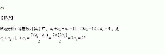
如果在等差数列中,,那么

练习册系列答案
相关习题

科目:高中数学 来源:2016届河南省商丘市高三三模理科数学试就(解析版) 题型:解答题

已知函数.

(I)求函数的单调区间;

(II)若函数的图象在点处的切线的倾斜角为,对于任意的,函数在区间上总不是单调函数,求的取值范围;

(III)求证:.

查看答案和解析>>

科目:高中数学 来源:2015-2016学年江西省高一5月月考文科数学试卷(解析版) 题型:解答题

中,角所对的边分别为.

(1)求

(2)若,求.

查看答案和解析>>

科目:高中数学 来源:2015-2016学年江西省高一5月月考文科数学试卷(解析版) 题型:选择题

下列不等式中,解集为的是( )

A. B. C. D.

查看答案和解析>>

科目:高中数学 来源:2015-2016学年江西省高一5月月考理科数学试卷(解析版) 题型:解答题

已知,函数.

(1)求函数的值域;

(2)在中,角和边满足,求边.

查看答案和解析>>

科目:高中数学 来源:2015-2016学年江西省高一5月月考理科数学试卷(解析版) 题型:选择题

已知在中,,则的形状是( )

A.直角三角形 B.等腰三角形或直角三角形 C.正三角形 D.等腰直角三角

查看答案和解析>>

科目:高中数学 来源:2015-2016学年江西省高一5月月考理科数学试卷(解析版) 题型:选择题

已知,向量的夹角为,则等于( )

A. B. C.2 D.4

查看答案和解析>>

科目:高中数学 来源:2015-2016学年福建省高二下期中理科数学试卷(解析版) 题型:选择题

将4名志愿者全部分配到三个不同的场馆参加接待工作,每个场馆至少分配一名志愿者的方案总数为( )

A.18 B.24 C.36 D.72

查看答案和解析>>

科目:高中数学 来源:2016届陕西西北工大附中高三下第六次训练文数学卷(解析版) 题型:填空题

等差数列中,,则 .

查看答案和解析>>

同步练习册答案