精英家教网 > 高中数学 > 题目详情

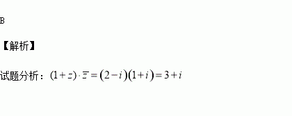
若复数,则( )

(A) (B) (C) (D)

练习册系列答案
相关习题

科目:高中数学 来源:2015-2016学年内蒙古高二下第一次月考文科数学卷(解析版) 题型:选择题

若函数在区间单调递增,则的取值范围是( )

A. B. C. D.

查看答案和解析>>

科目:高中数学 来源:2015-2016学年江西省高二3月月考文科数学试卷(解析版) 题型:填空题

命题“存在,使”的否定是

查看答案和解析>>

科目:高中数学 来源:2015-2016学年四川省雅安市高二下期中文科数学试卷(解析版) 题型:解答题

如图,在四棱柱P-ABCD中,底面ABCD是矩形,E是棱PA的中点,PD⊥BC.

求证:(Ⅰ)PC∥平面BED;

(Ⅱ)△PBC是直角三角形.

查看答案和解析>>

科目:高中数学 来源:2015-2016学年四川省雅安市高二下期中文科数学试卷(解析版) 题型:选择题

,且,则( )

(A) (B) (C) (D)

查看答案和解析>>

科目:高中数学 来源:2015-2016学年四川省雅安市高二下期中文科数学试卷(解析版) 题型:选择题

函数的导数是( )

(A) (B) (C) (D)

查看答案和解析>>

科目:高中数学 来源:2015-2016学年安徽省高二下学期第一次检测文科数学试卷(解析版) 题型:填空题

已知

查看答案和解析>>

科目:高中数学 来源:2015-2016学年安徽省高二下学期第一次检测理科数学试卷(解析版) 题型:解答题

已知函数

(1)当时,求曲线在点处的切线方程;

(2)讨论函数的单调区间.

查看答案和解析>>

科目:高中数学 来源:2015-2016学年山东省高二下学期第一次月考文科数学试卷(解析版) 题型:解答题

某化工厂引进一条先进生产线生产某种化工产品,其生产的总成本(万元)与年产量(吨)之间的函数关系式可以近似的表示为,已知此生产线年产量最大为吨.

(1)求年产量为多少吨时,生产每吨产品的平均成本最低,并求最低成本;

(2)若每吨产品平均出厂价为40万元,那么当年产量为多少吨时,可以获得最大利润?最大利润是多少?

查看答案和解析>>

同步练习册答案